Официальное опубликование правовых актов
ОФИЦИАЛЬНОЕ ОПУБЛИКОВАНИЕ
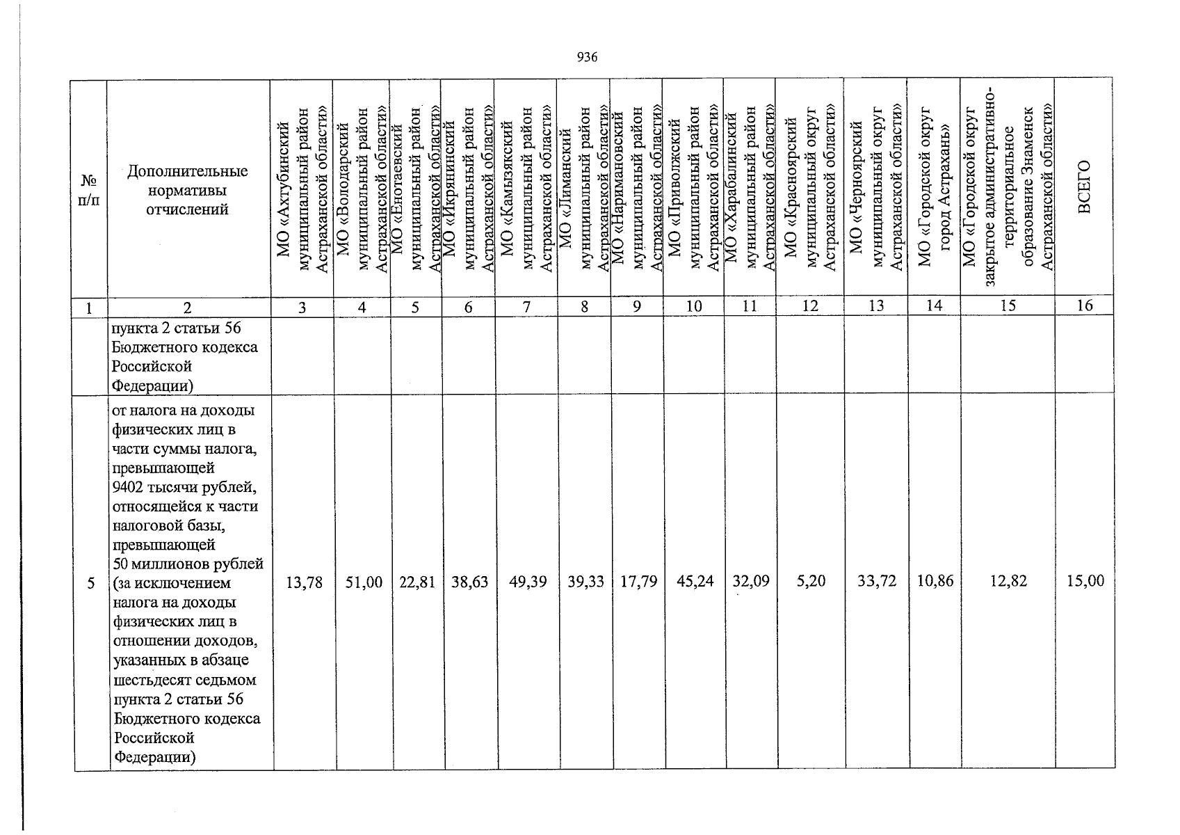
Закон Астраханской области от 16.12.2024 № 117/2024-ОЗ
"О бюджете Астраханской области на 2025 год и на плановый период 2026 и 2027 годов"
Номер опубликования: 3000202412190005
Дата опубликования: 19.12.2024
Страница №936 из 977:
Увеличить