Официальное опубликование правовых актов
ОФИЦИАЛЬНОЕ ОПУБЛИКОВАНИЕ
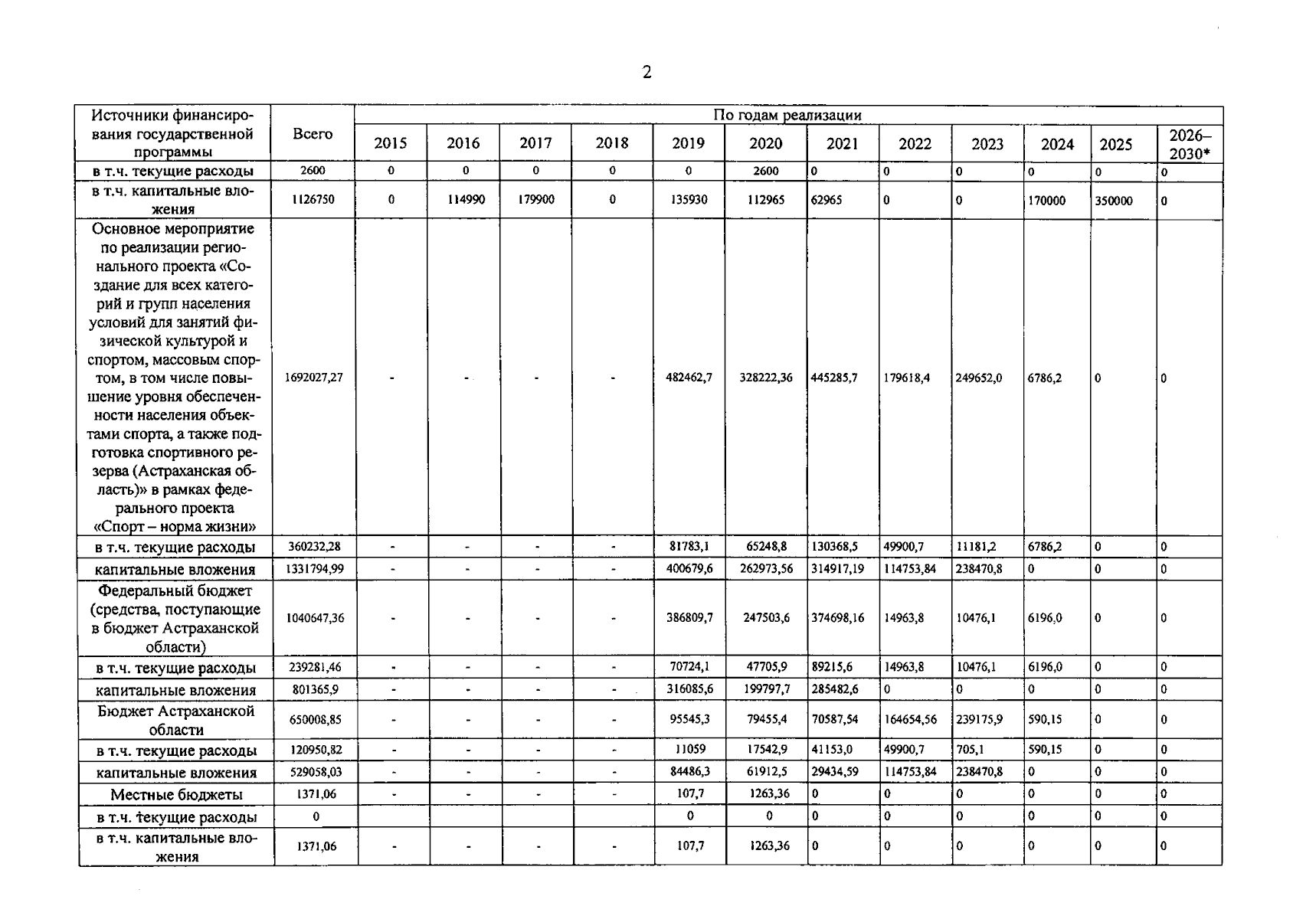
Постановление Правительства Астраханской области от 28.12.2023 № 827-П
"О внесении изменений в постановление Правительства Астраханской области от 10.09.2014 № 370-П"
Номер опубликования: 3000202401030052
Дата опубликования: 03.01.2024
Страница №28 из 97:
Увеличить