Официальное опубликование правовых актов
ОФИЦИАЛЬНОЕ ОПУБЛИКОВАНИЕ
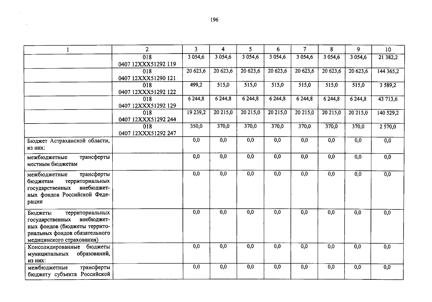
Постановление Правительства Астраханской области от 03.10.2023 № 573-П
"О государственной программе "Охрана окружающей среды Астраханской области"
Номер опубликования: 3000202310060006
Дата опубликования: 06.10.2023
Страница №198 из 281:
Увеличить