Официальное опубликование правовых актов
ОФИЦИАЛЬНОЕ ОПУБЛИКОВАНИЕ
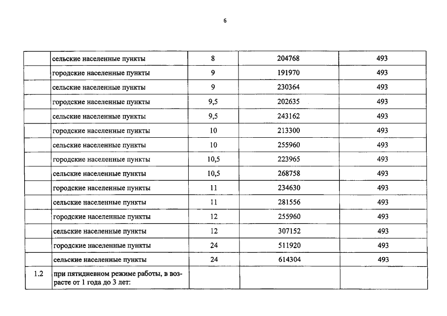
Постановление Правительства Астраханской области от 01.11.2022 № 534-П
"О внесении изменений в постановление Правительства Астраханской области от 04.03.2014 № 58-П"
Номер опубликования: 3000202211070001
Дата опубликования: 07.11.2022
Страница №7 из 142:
Увеличить