Официальное опубликование правовых актов
ОФИЦИАЛЬНОЕ ОПУБЛИКОВАНИЕ
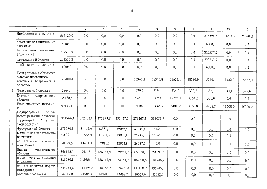
Постановление Правительства Астраханской области от 18.10.2022 № 500-П
"О внесении изменений в постановление Правительства Астраханской области от 10.09.2014 № 368-П"
Номер опубликования: 3000202210240006
Дата опубликования: 24.10.2022
Страница №90 из 111:
Увеличить