Официальное опубликование правовых актов
ОФИЦИАЛЬНОЕ ОПУБЛИКОВАНИЕ
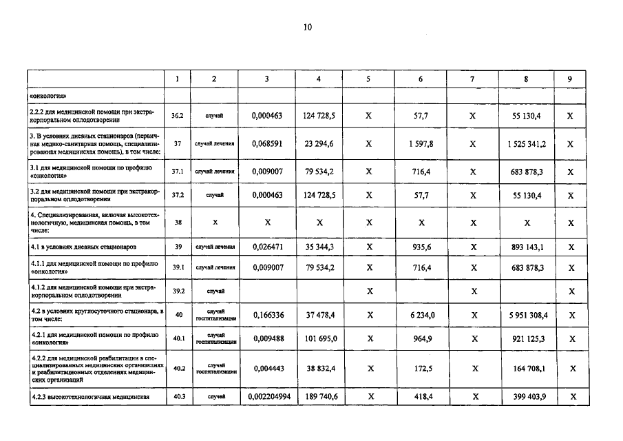
Постановление Правительства Астраханской области от 20.05.2022 № 226-П
"О внесении изменений в постановление Правительства Астра-ханской области от 31.12.2021 № 699-П"
Номер опубликования: 3000202205270005
Дата опубликования: 27.05.2022
Страница №23 из 93:
Увеличить