Официальное опубликование правовых актов
ОФИЦИАЛЬНОЕ ОПУБЛИКОВАНИЕ
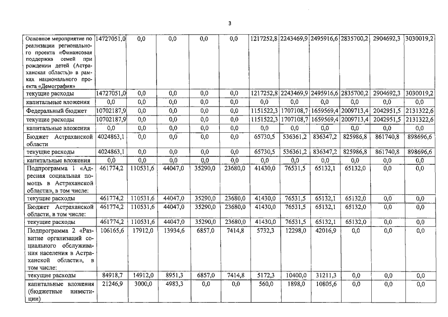
Постановление Правительства Астраханской области от 31.03.2022 № 121-П
"О внесении изменений в постановление Правительства Астраханской области от 12.09.2014 № 399-П"
Номер опубликования: 3000202204080001
Дата опубликования: 08.04.2022
Страница №144 из 209:
Увеличить