Официальное опубликование правовых актов
ОФИЦИАЛЬНОЕ ОПУБЛИКОВАНИЕ
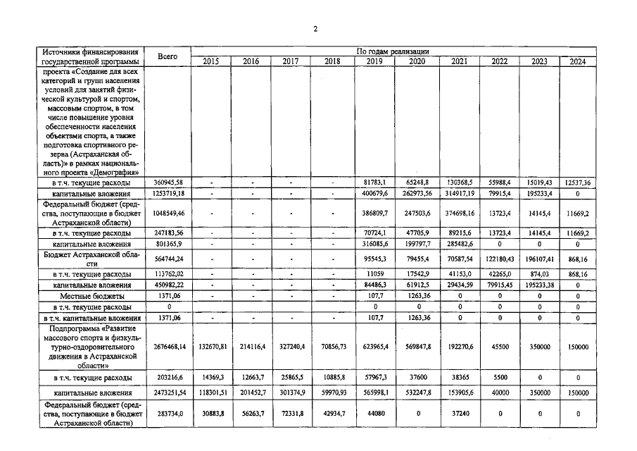
Постановление Правительства Астраханской области от 31.03.2022 № 116-П
"О внесении изменений в постановление Правительства Астраханской области от 10.09.2014 № 370-П"
Номер опубликования: 3000202204040003
Дата опубликования: 04.04.2022
Страница №24 из 41:
Увеличить