Официальное опубликование правовых актов
ОФИЦИАЛЬНОЕ ОПУБЛИКОВАНИЕ
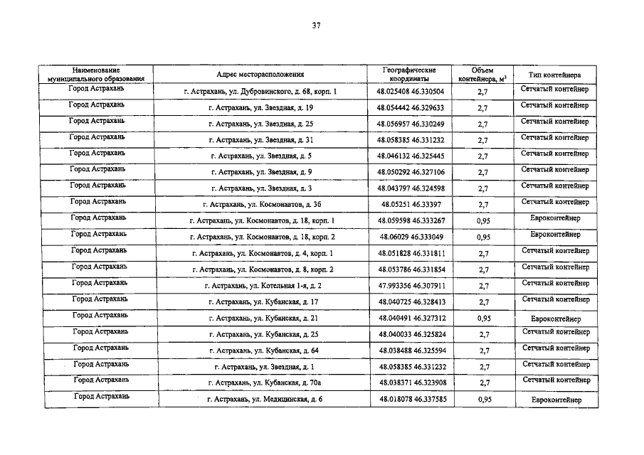
Постановление Правительства Астраханской области от 20.09.2021 № 421-П
"О внесении изменения в постановление Правительства Астраханской области от 21.06.2019 № 202-П"
Номер опубликования: 3000202109270002
Дата опубликования: 27.09.2021
Страница №38 из 49:
Увеличить