Официальное опубликование правовых актов
ОФИЦИАЛЬНОЕ ОПУБЛИКОВАНИЕ
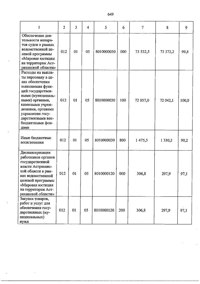
Закон Астраханской области от 22.06.2021 № 58/2021-ОЗ
"Об исполнении бюджета Астраханской области за 2020 год"
Номер опубликования: 3000202106240003
Дата опубликования: 24.06.2021
Страница №649 из 1388:
Увеличить