Официальное опубликование правовых актов
ОФИЦИАЛЬНОЕ ОПУБЛИКОВАНИЕ
Постановление Правительства Астраханской области от 28.05.2021 № 212-П
"О внесении изменений в постановление Правительства Астраханской области от 12.09.2014 № 389-П"
Номер опубликования: 3000202106030012
Дата опубликования: 03.06.2021
Страница №263 из 314:
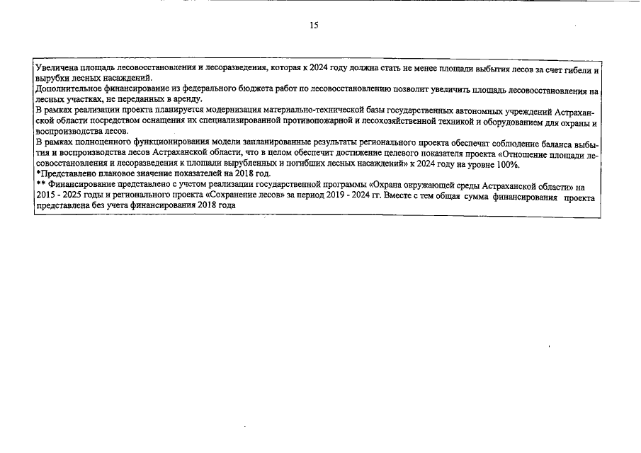
Увеличить