Постановление Правительства Астраханской области от 22.12.2020 № 616-П
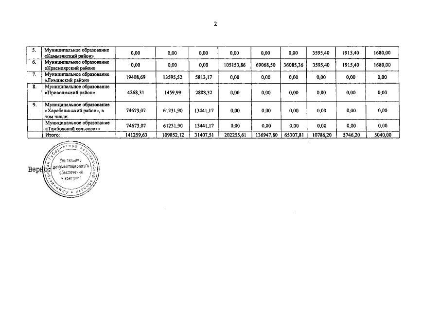
"О распределении в 2020 – 2022 годах субсидии из бюджета Астраханской области бюджетам муниципальных образований Астраханской области в рамках реализации подпрограммы "Комплексное развитие сельских территорий Астраханской области" государственной программы "Развитие сельского хозяйства, пищевой и рыбной промышленности Астраханской области"
"О распределении в 2020 – 2022 годах субсидии из бюджета Астраханской области бюджетам муниципальных образований Астраханской области в рамках реализации подпрограммы "Комплексное развитие сельских территорий Астраханской области" государственной программы "Развитие сельского хозяйства, пищевой и рыбной промышленности Астраханской области"
Номер опубликования: 3000202012240017
Дата опубликования:
24.12.2020
