Официальное опубликование правовых актов
ОФИЦИАЛЬНОЕ ОПУБЛИКОВАНИЕ
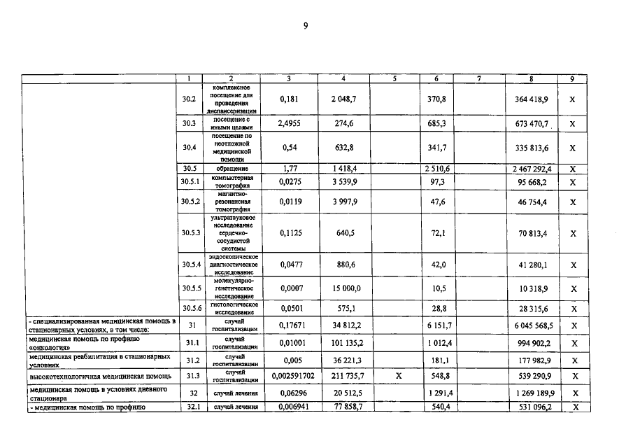
Постановление Правительства Астраханской области от 18.12.2020 № 590-П
"О внесении изменений в постановление Правительства Астраханской области от 30.12.2019 № 597-П"
Номер опубликования: 3000202012240002
Дата опубликования: 24.12.2020
Страница №13 из 32:
Увеличить