Официальное опубликование правовых актов
ОФИЦИАЛЬНОЕ ОПУБЛИКОВАНИЕ
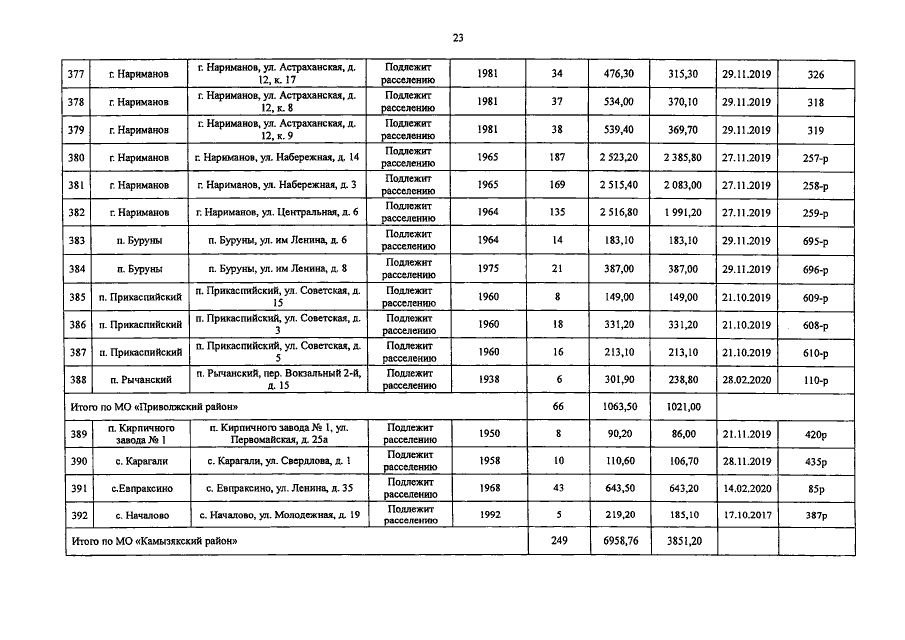
Постановление Правительства Астраханской области от 18.12.2020 № 585-П
"О внесении изменений в постановление Правительства Астраханской области от 08.04.2019 № 112-П"
Номер опубликования: 3000202012220004
Дата опубликования: 22.12.2020
Страница №84 из 85:
Увеличить