Официальное опубликование правовых актов
ОФИЦИАЛЬНОЕ ОПУБЛИКОВАНИЕ
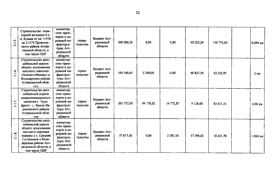
Постановление Правительства Астраханской области от 01.12.2020 № 554-П
"О перечне объектов капитальных вложений на 2021 год и на весь период реализации объектов капитальных вложений"
Номер опубликования: 3000202012100004
Дата опубликования: 10.12.2020
Страница №33 из 35:
Увеличить