Официальное опубликование правовых актов
ОФИЦИАЛЬНОЕ ОПУБЛИКОВАНИЕ
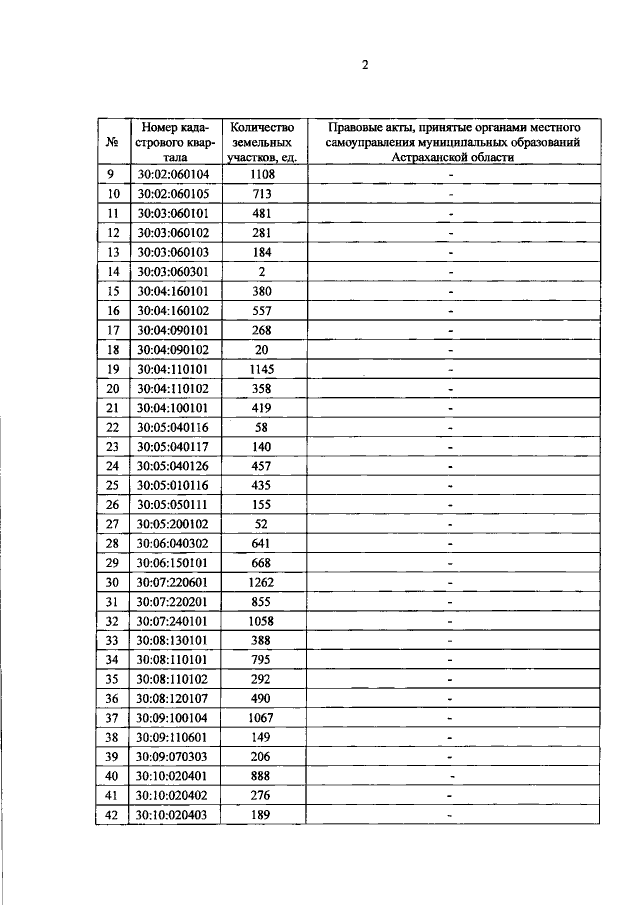
Постановление Правительства Астраханской области от 24.03.2020 № 119-П
"Об организации проведения комплексных кадастровых работ на территории Астраханской области в 2021 году и плановом периоде 2022 и 2023 годов и признании утратившим силу постановления Правительства Астраханской области от 25.02.2019 № 46-П"
Номер опубликования: 3000202003300004
Дата опубликования: 30.03.2020
Страница №12 из 13:
Увеличить