Официальное опубликование правовых актов
ОФИЦИАЛЬНОЕ ОПУБЛИКОВАНИЕ
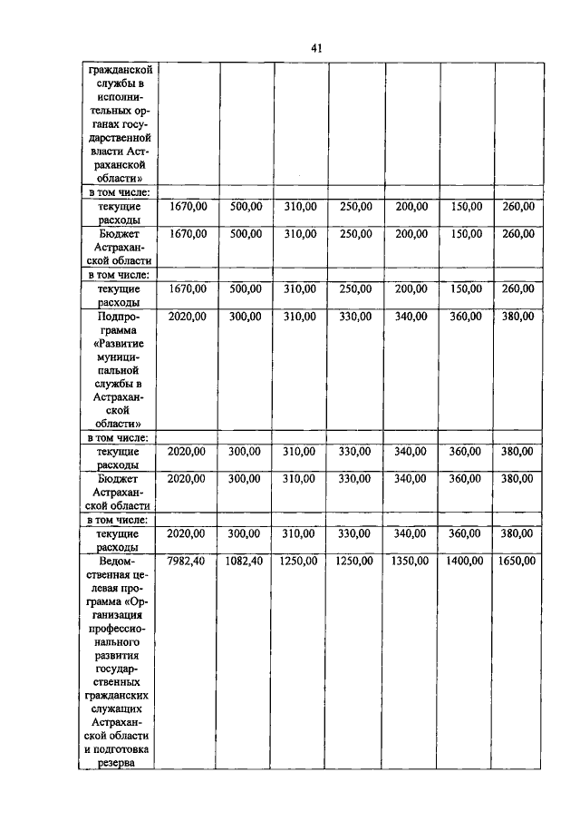
Постановление Правительства Астраханской области от 12.03.2020 № 98-П
"О государственной программе "Повышение кадрового потенциала исполнительных органов государственной власти Астраханской области и органов местного самоуправления муниципальных образований Астраханской области"
Номер опубликования: 3000202003190003
Дата опубликования: 19.03.2020
Страница №42 из 49:
Увеличить