Официальное опубликование правовых актов
ОФИЦИАЛЬНОЕ ОПУБЛИКОВАНИЕ
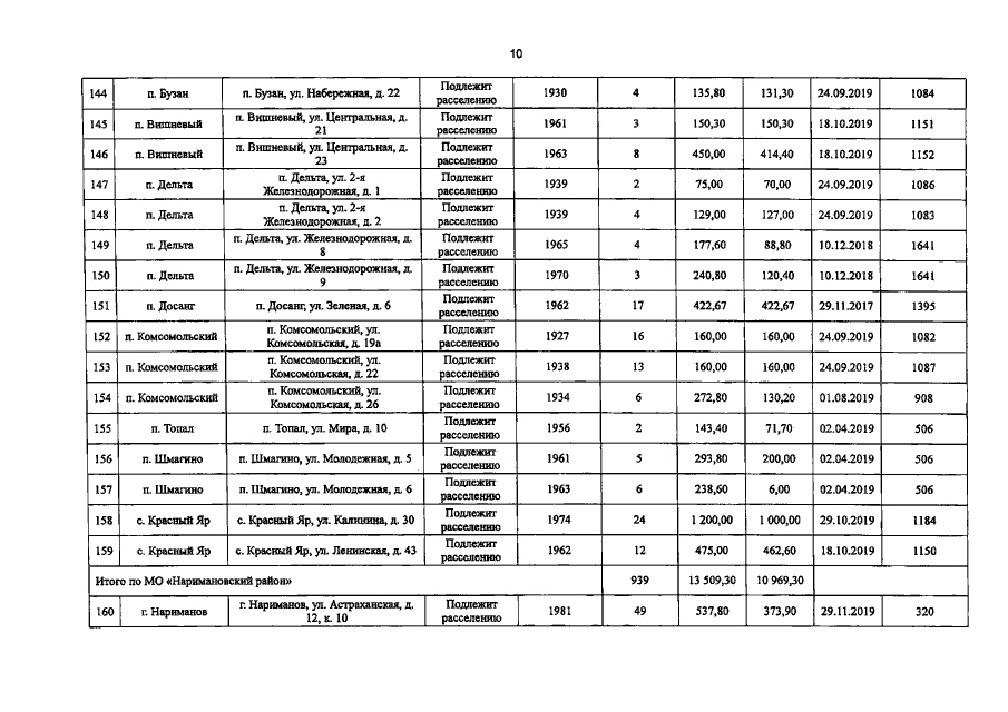
Постановление Правительства Астраханской области от 21.02.2020 № 62-П
"О внесении изменений в постановление Правительства Астраханской области от 08.04.2019 № 112-П"
Номер опубликования: 3000202002250001
Дата опубликования: 25.02.2020
Страница №41 из 43:
Увеличить