Официальное опубликование правовых актов
ОФИЦИАЛЬНОЕ ОПУБЛИКОВАНИЕ
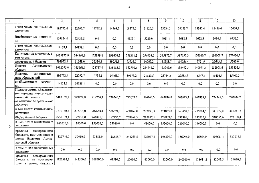
Постановление Правительства Астраханской области от 19.09.2019 № 359-П
"О внесении изменений в постановление Правительства Астраханской области от 10.09.2014 № 368-П"
Номер опубликования: 3000201909270004
Дата опубликования: 27.09.2019
Страница №150 из 181:
Увеличить