Официальное опубликование правовых актов
ОФИЦИАЛЬНОЕ ОПУБЛИКОВАНИЕ
Постановление Правительства Астраханской области от 31.07.2019 № 282-П
"О внесении изменений в постановление Правительства Астраханской области от 25.02.2019 № 46-П"
Номер опубликования: 3000201908050003
Дата опубликования: 05.08.2019
Страница №15 из 16:
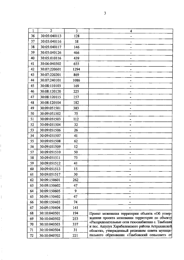
Увеличить