Официальное опубликование правовых актов
ОФИЦИАЛЬНОЕ ОПУБЛИКОВАНИЕ
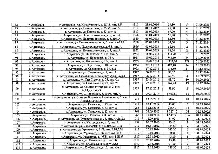
Постановление Правительства Астраханской области от 08.04.2019 № 112-П "О региональной адресной программе "Переселение граждан из аварийного жилищного фонда в 2019-2024 годах"
Номер опубликования: 3000201904120004
Дата опубликования: 12.04.2019
Страница №12 из 31:
Увеличить