Официальное опубликование правовых актов
ОФИЦИАЛЬНОЕ ОПУБЛИКОВАНИЕ
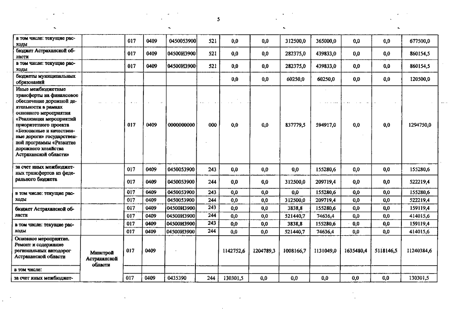
Постановление Правительства Астраханской области от 21.12.2017 № 496-П "О внесении изменений в постановление Правительства Астраханской области от 07.10.2014 № 427-П"
Номер опубликования: 3000201712280005
Дата опубликования: 28.12.2017
Страница №49 из 68:
Увеличить