Официальное опубликование правовых актов
ОФИЦИАЛЬНОЕ ОПУБЛИКОВАНИЕ
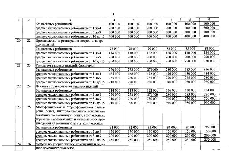
Закон Астраханской области от 13.07.2017 № 39/2017-ОЗ
"О внесении изменений в Закон Астраханской области "О применении индивидуальными предпринимателями патентной системы налогообложения на территории Астраханской области"
Номер опубликования: 3000201707140004
Дата опубликования: 14.07.2017
Страница №8 из 32:
Увеличить