Официальное опубликование правовых актов
ОФИЦИАЛЬНОЕ ОПУБЛИКОВАНИЕ
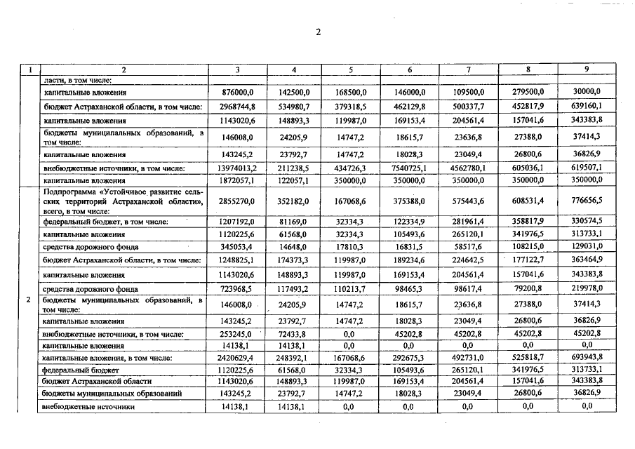
Постановление Правительства Астраханской области от 22.06.2016 № 192-П "О внесении изменений в постановление Правительства Астраханской области от 10.09.2014 № 368-П"
Номер опубликования: 3000201606280018
Дата опубликования: 28.06.2016
Страница №163 из 167:
Увеличить