Официальное опубликование правовых актов
ОФИЦИАЛЬНОЕ ОПУБЛИКОВАНИЕ
Постановление Министерства природных ресурсов и лесопромышленного комплекса Архангельской области от 06.04.2026 № 10п
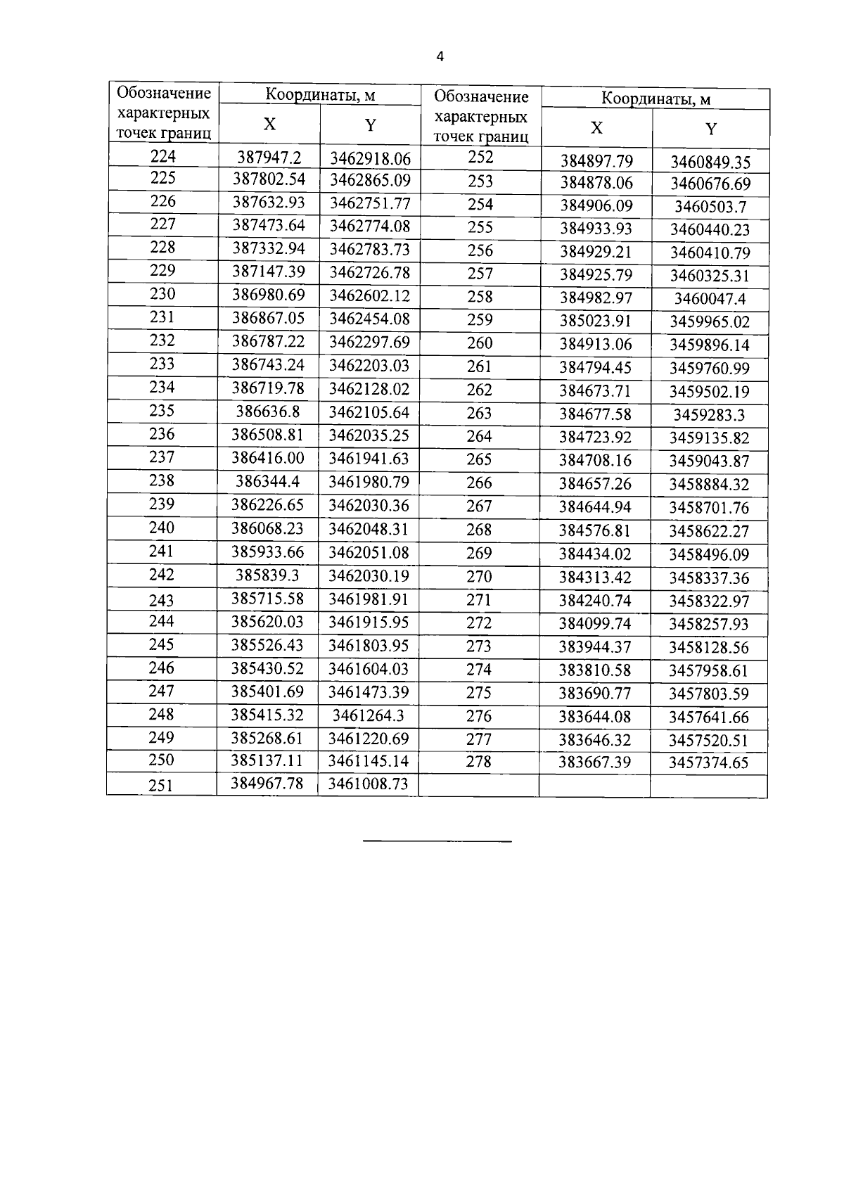
"Об установлении зоны санитарной охраны источника питьевого и хозяйственно-бытового водоснабжения водозаборных сооружений из реки Большая Свага, расположенных на земельном участке 29:02:010103:687 по адресу Архангельская область, Верхнетоемский муниципальный округ, пос. Двинской, сооружение 2, кадастровый номер сооружения 29:02:010103:687"
(Зарегистрирован 07.04.2026 № 29-2026-204/221)
Номер опубликования: 2901202604070002
Дата опубликования: 07.04.2026
Страница №7 из 9:
Увеличить