Официальное опубликование правовых актов
ОФИЦИАЛЬНОЕ ОПУБЛИКОВАНИЕ
Постановление Министерства природных ресурсов и лесопромышленного комплекса Архангельской области от 04.02.2026 № 4п
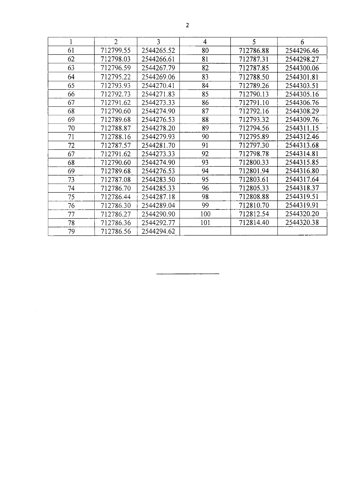
"Об установлении зоны санитарной охраны источника питьевого и хозяйственно-бытового водоснабжения водозаборной скважины № 1-АА-65, расположенной в Приморском муниципальном округе Архангельской области, автомобильный проезд Архангельск – месторождение им. М.В. Ломоносова, в 0,3 км к югу от Мудьюгских озер"
(Зарегистрирован 06.02.2026 № 29-2026-204/58)
Номер опубликования: 2901202602060007
Дата опубликования: 06.02.2026
Страница №4 из 8:
Увеличить