Официальное опубликование правовых актов
ОФИЦИАЛЬНОЕ ОПУБЛИКОВАНИЕ
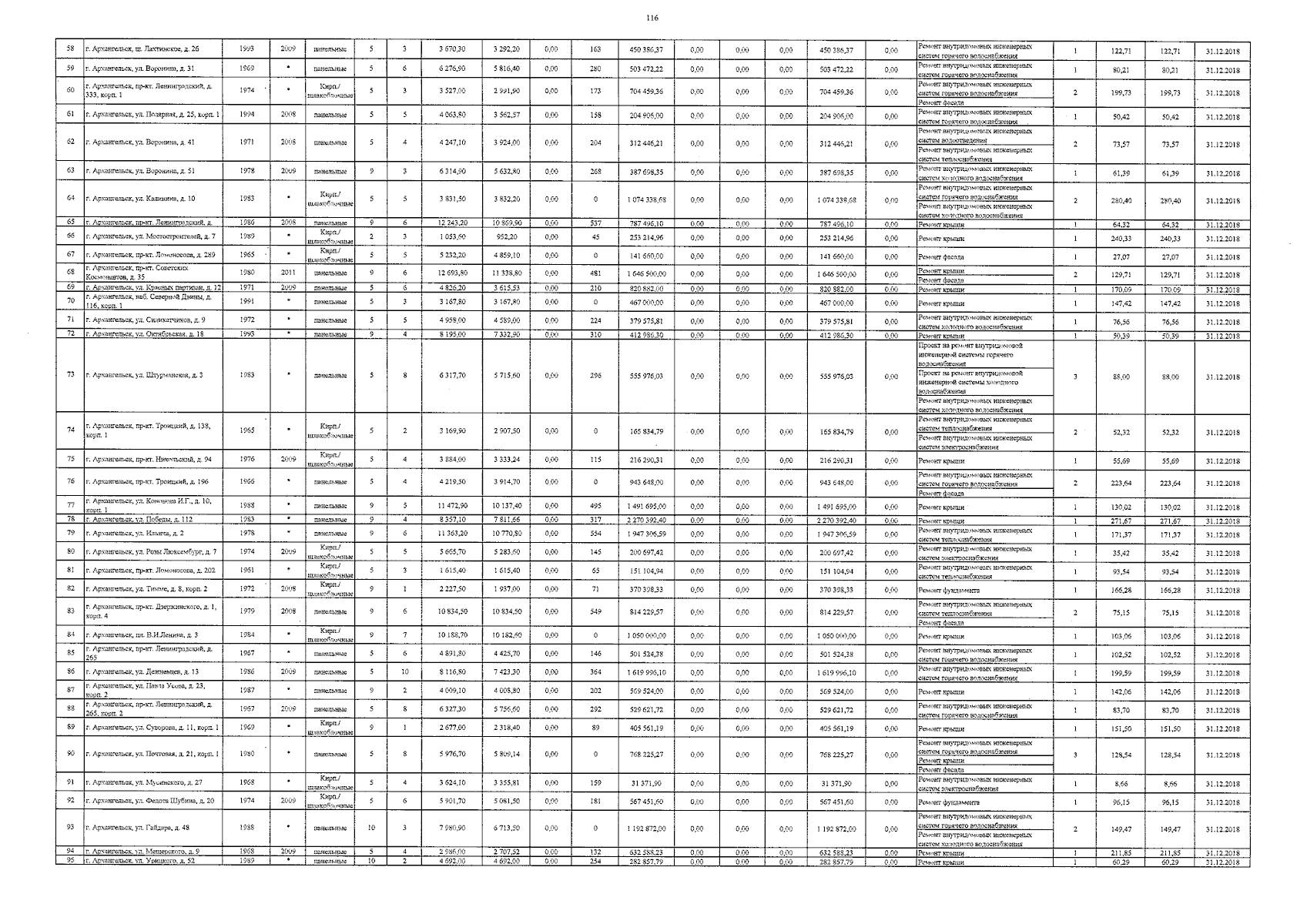
Постановление Министерства топливно-энергетического комплекса и жилищно-коммунального хозяйства Архангельской области от 04.02.2026 № 11-п
"О внесении изменений в краткосрочный план реализации региональной программы капитального ремонта общего имущества в многоквартирных домах, расположенных на территории Архангельской области, на 2017 – 2019 годы"
(Зарегистрирован 05.02.2026 № 29-2026-203/53)
Номер опубликования: 2901202602050004
Дата опубликования: 05.02.2026
Страница №117 из 126:
Увеличить