Постановление Министерства природных ресурсов и лесопромышленного комплекса Архангельской области от 25.12.2025 № 71п
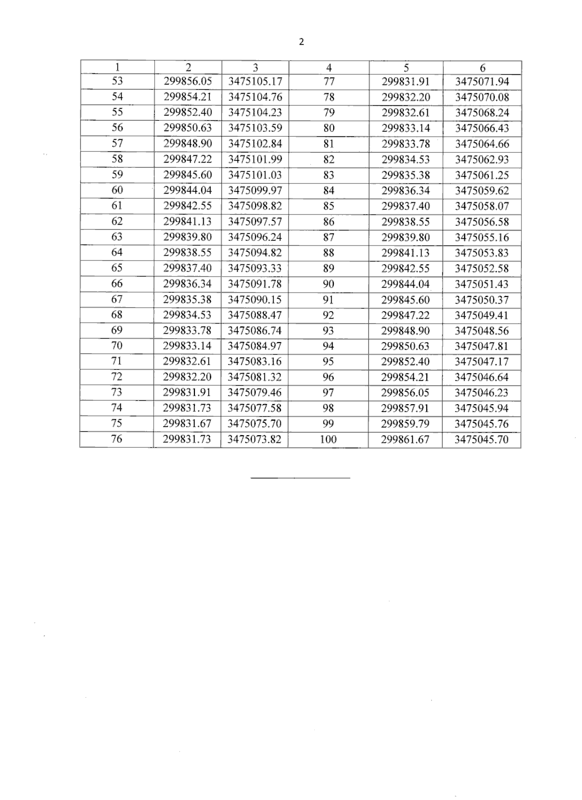
"Об установлении зоны санитарной охраны источника питьевого и хозяйственно-бытового водоснабжения колодца-скважины в пос. Комсомольский Красноборского муниципального округа Архангельской области, расположенного в границах земельного участка с кадастровым номером 29:08:060301:503 по адресу Архангельская область, Красноборский муниципальный округ, пос. Комсомольский, ул. Лесная, д. 10, соор. 1"
(Зарегистрирован 26.12.2025 № 29-2025-204/1471)
"Об установлении зоны санитарной охраны источника питьевого и хозяйственно-бытового водоснабжения колодца-скважины в пос. Комсомольский Красноборского муниципального округа Архангельской области, расположенного в границах земельного участка с кадастровым номером 29:08:060301:503 по адресу Архангельская область, Красноборский муниципальный округ, пос. Комсомольский, ул. Лесная, д. 10, соор. 1"
(Зарегистрирован 26.12.2025 № 29-2025-204/1471)
Номер опубликования: 2901202512260021
Дата опубликования:
26.12.2025
