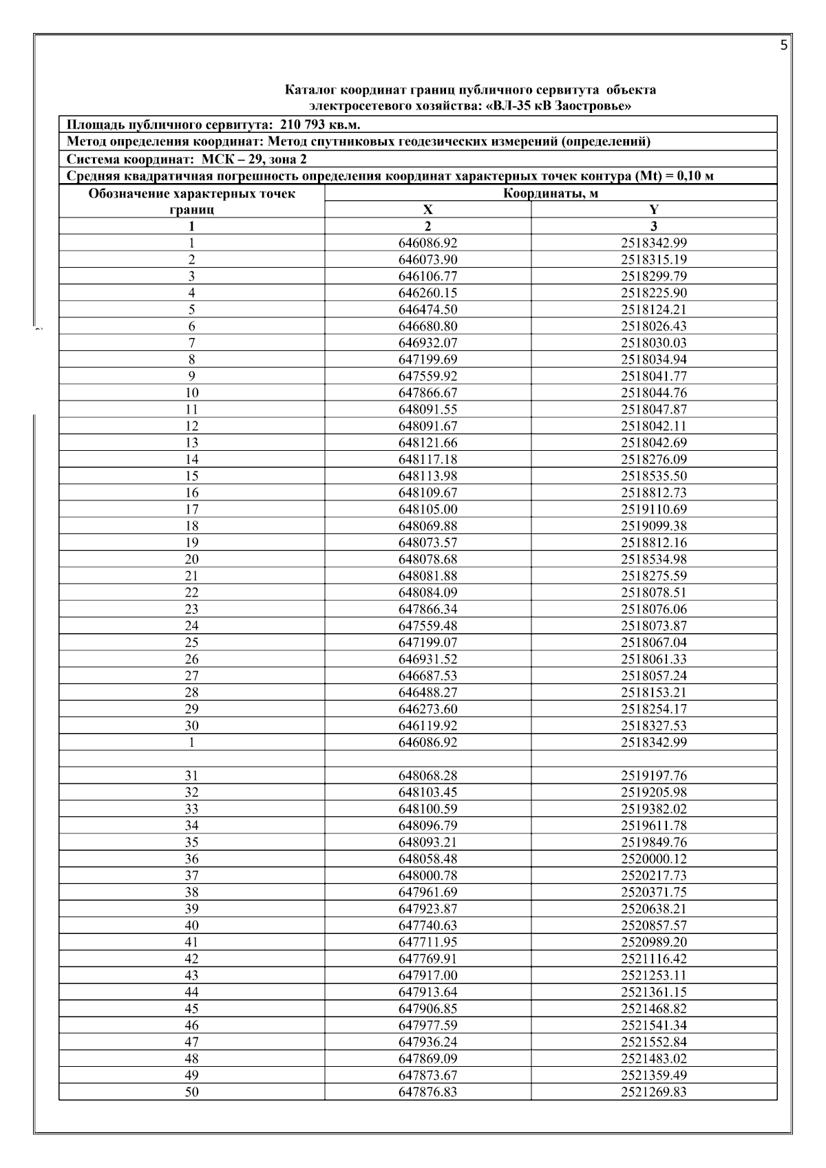
Постановление Министерства имущественных отношений Архангельской области от 21.08.2025 № 24-п
"Об установлении публичного сервитута для эксплуатации объекта регионального значения "ВЛ-35 кВ Заостровье"
(Зарегистрирован 22.08.2025 № 29-2025-312/791)
"Об установлении публичного сервитута для эксплуатации объекта регионального значения "ВЛ-35 кВ Заостровье"
(Зарегистрирован 22.08.2025 № 29-2025-312/791)
Номер опубликования: 2901202508270001
Дата опубликования:
27.08.2025
