Официальное опубликование правовых актов
ОФИЦИАЛЬНОЕ ОПУБЛИКОВАНИЕ
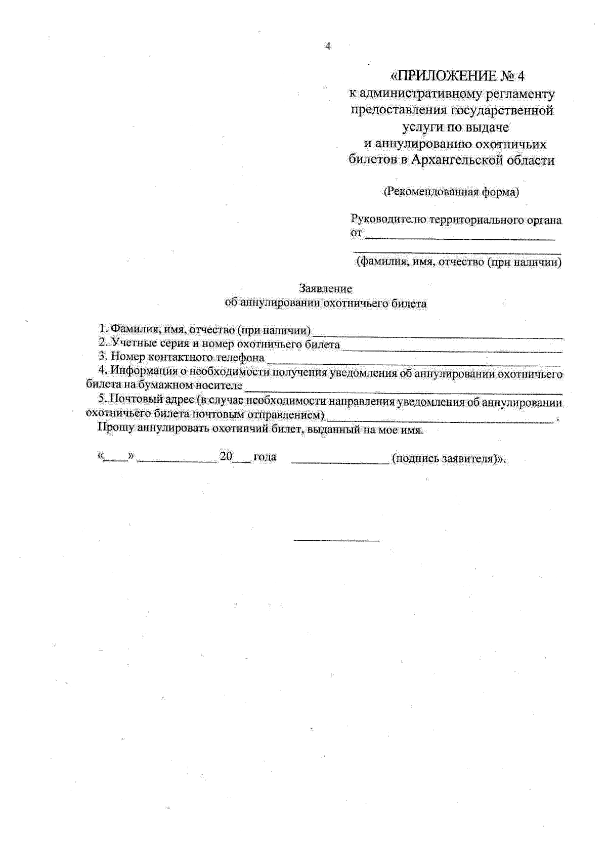
Постановление Министерства природных ресурсов и лесопромышленного комплекса Архангельской области от 12.08.2025 № 51п
"О внесении изменений в постановление министерства природных ресурсов и лесопромышленного комплекса Архангельской области от 30 мая 2016 года № 10п"
(Зарегистрирован 13.08.2025 № 29-2025-204/769)
Номер опубликования: 2901202508130004
Дата опубликования: 13.08.2025
Страница №6 из 6:
Увеличить