Официальное опубликование правовых актов
ОФИЦИАЛЬНОЕ ОПУБЛИКОВАНИЕ
Постановление Министерства топливно-энергетического комплекса и жилищно-коммунального хозяйства Архангельской области от 11.08.2025 № 107-пн
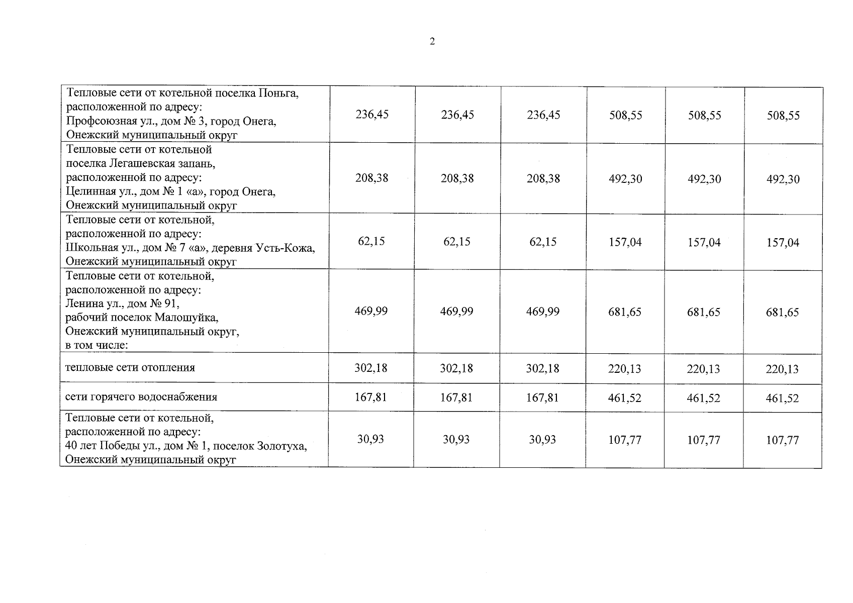
"Об утверждении нормативов технологических потерь при передаче тепловой энергии, теплоносителя по тепловым сетям, расположенным на территории Онежского муниципального округа Архангельской области, эксплуатируемым обществом с ограниченной ответственностью "Предприятие котельных и тепловых сетей", на 2026 – 2028 годы"
(Зарегистрирован 11.08.2025 № 29-2025-203/759)
Номер опубликования: 2901202508120003
Дата опубликования: 12.08.2025
Страница №4 из 5:
Увеличить