Официальное опубликование правовых актов
ОФИЦИАЛЬНОЕ ОПУБЛИКОВАНИЕ
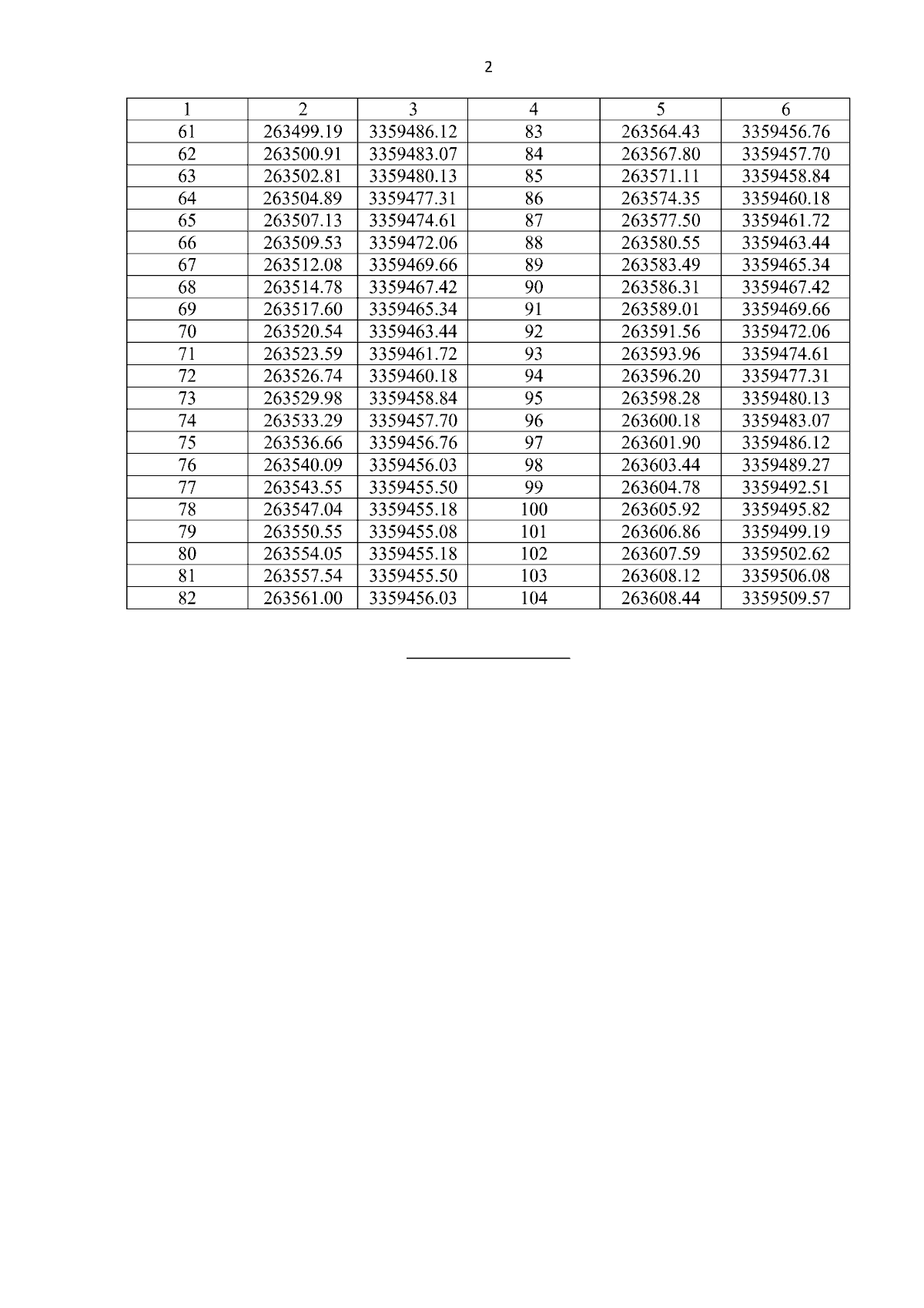
Постановление Министерства природных ресурсов и лесопромышленного комплекса Архангельской области от 24.04.2025 № 27п
"Об установлении зоны санитарной охраны источника питьевого и хозяйственно-бытового водоснабжения"
(Зарегистрирован 28.04.2025 № 29-2025-204/363)
Номер опубликования: 2901202504280001
Дата опубликования: 28.04.2025
Страница №6 из 14:
Увеличить