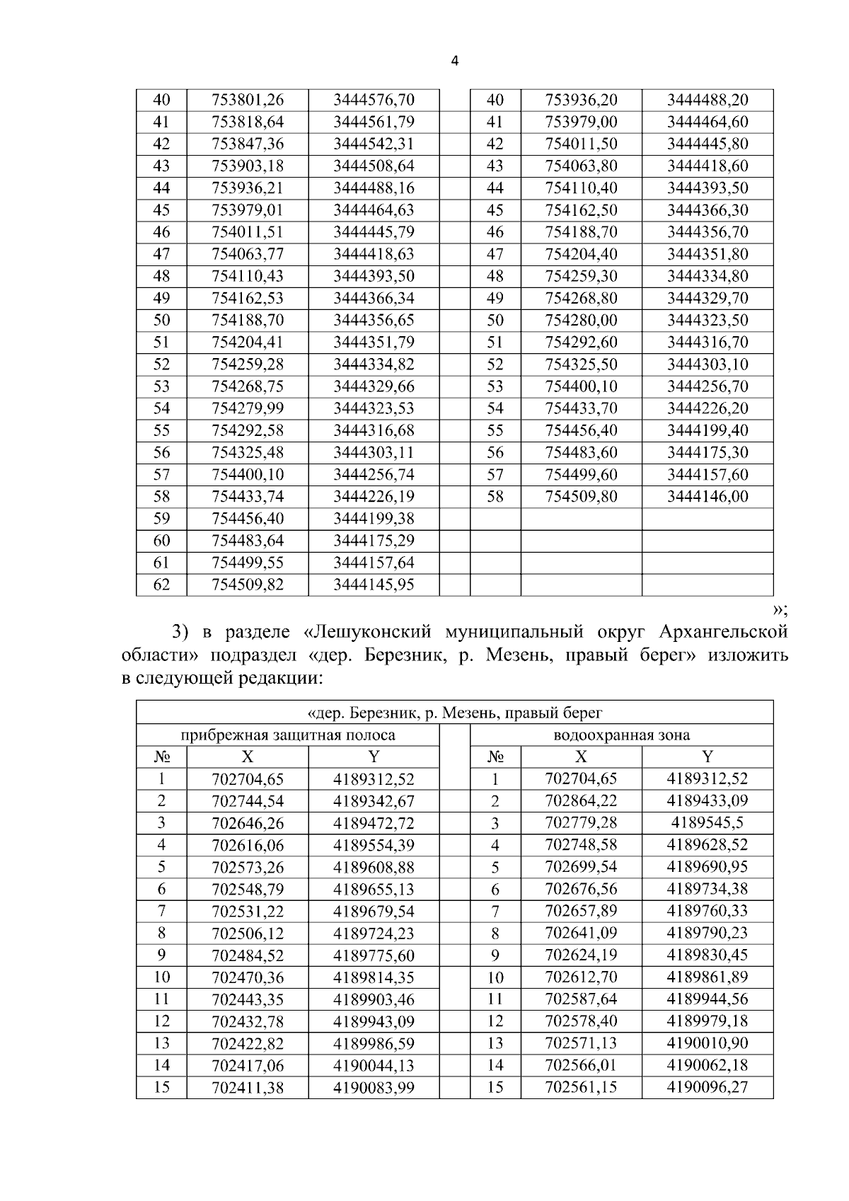
Постановление Министерства природных ресурсов и лесопромышленного комплекса Архангельской области от 20.03.2025 № 22п
"О внесении изменений в постановление министерства природных ресурсов и лесопромышленного комплекса Архангельской области от 7 марта 2017 года № 4п"
(Зарегистрирован 21.03.2025 № 29-2025-204/255)
"О внесении изменений в постановление министерства природных ресурсов и лесопромышленного комплекса Архангельской области от 7 марта 2017 года № 4п"
(Зарегистрирован 21.03.2025 № 29-2025-204/255)
Номер опубликования: 2901202503210004
Дата опубликования:
21.03.2025
