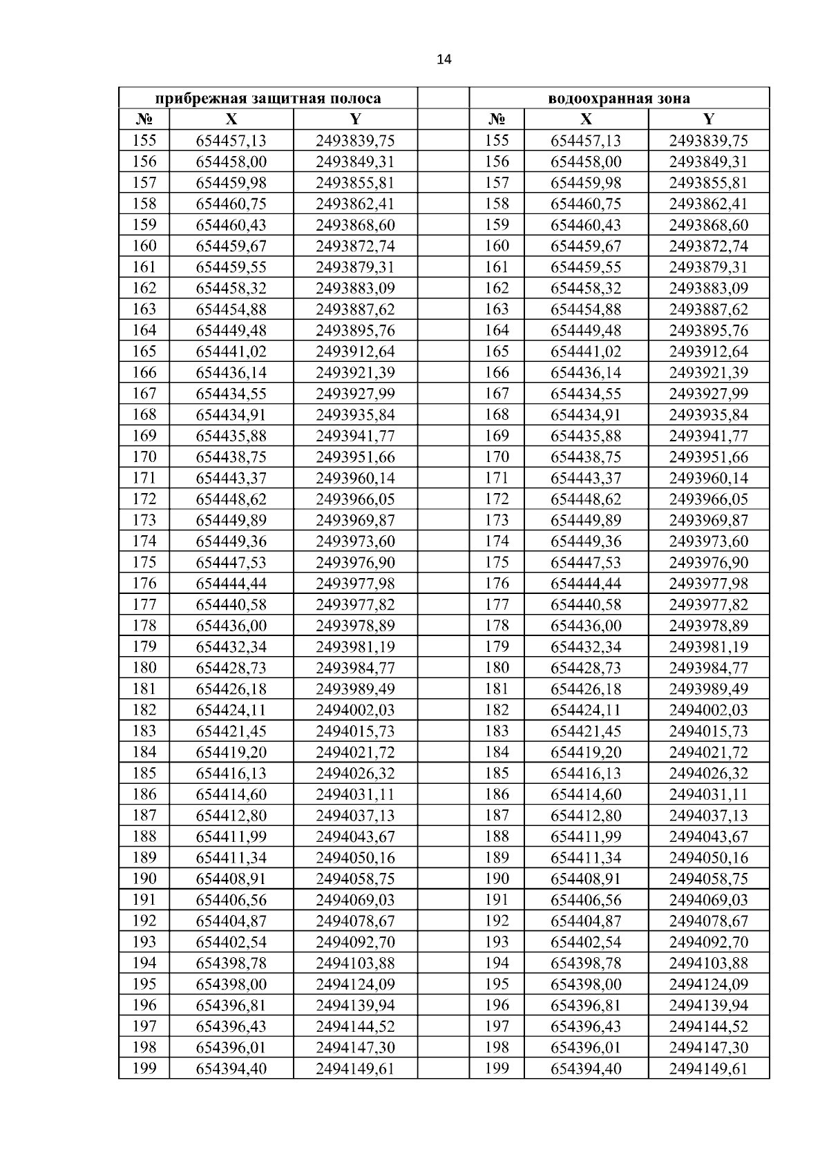
Постановление Министерства природных ресурсов и лесопромышленного комплекса Архангельской области от 19.02.2025 № 16п
"О внесении изменений в постановление министерства природных ресурсов и лесопромышленного комплекса Архангельской области от 3 февраля 2020 года № 7п"
(Зарегистрирован 20.02.2025 № 29-2025-204/139)
"О внесении изменений в постановление министерства природных ресурсов и лесопромышленного комплекса Архангельской области от 3 февраля 2020 года № 7п"
(Зарегистрирован 20.02.2025 № 29-2025-204/139)
Номер опубликования: 2901202502200003
Дата опубликования:
20.02.2025
