Официальное опубликование правовых актов
ОФИЦИАЛЬНОЕ ОПУБЛИКОВАНИЕ
Постановление Министерства природных ресурсов и лесопромышленного комплекса Архангельской области от 14.02.2025 № 14п
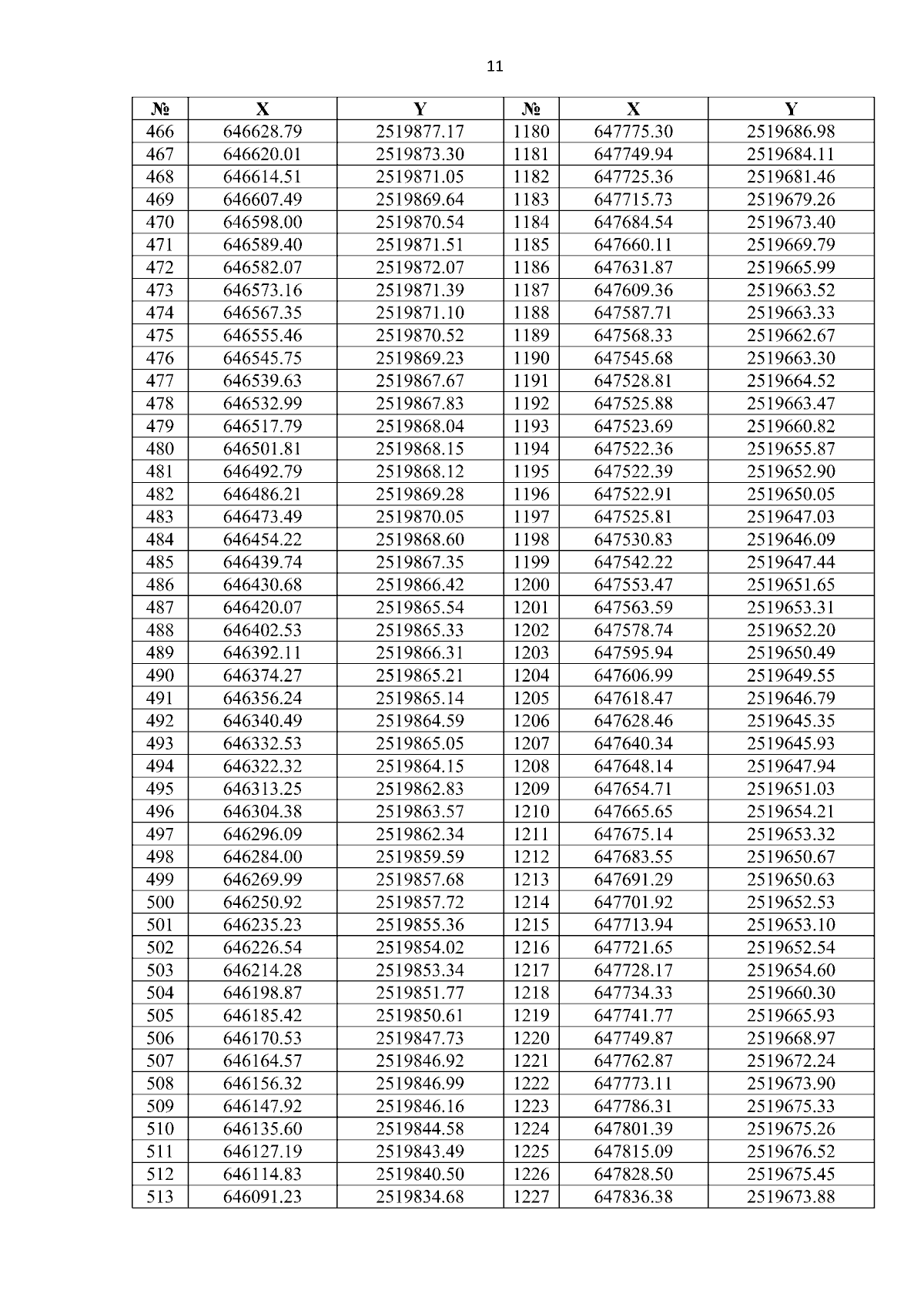
"Об установлении местоположения береговой линии (границы водного объекта), границ водоохранной зоны и границ прибрежной защитной полосы участка реки Левковка, расположенного в границах Приморского муниципального округа Архангельской области"
(Зарегистрирован 14.02.2025 № 29-2025-204/128)
Номер опубликования: 2901202502180007
Дата опубликования: 18.02.2025
Страница №13 из 60:
Увеличить