Официальное опубликование правовых актов
ОФИЦИАЛЬНОЕ ОПУБЛИКОВАНИЕ
Постановление Министерства природных ресурсов и лесопромышленного комплекса Архангельской области от 17.01.2025 № 4п
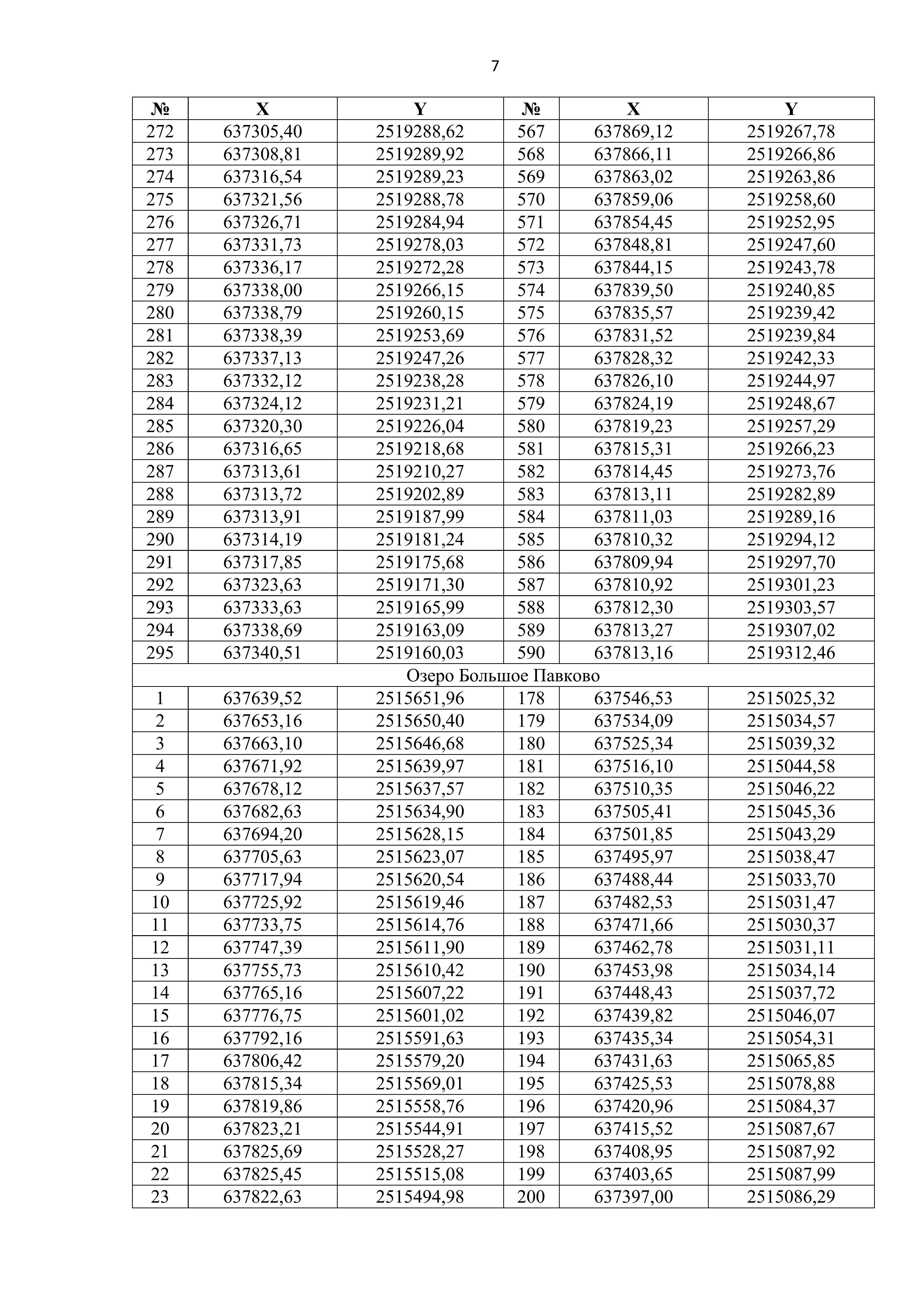
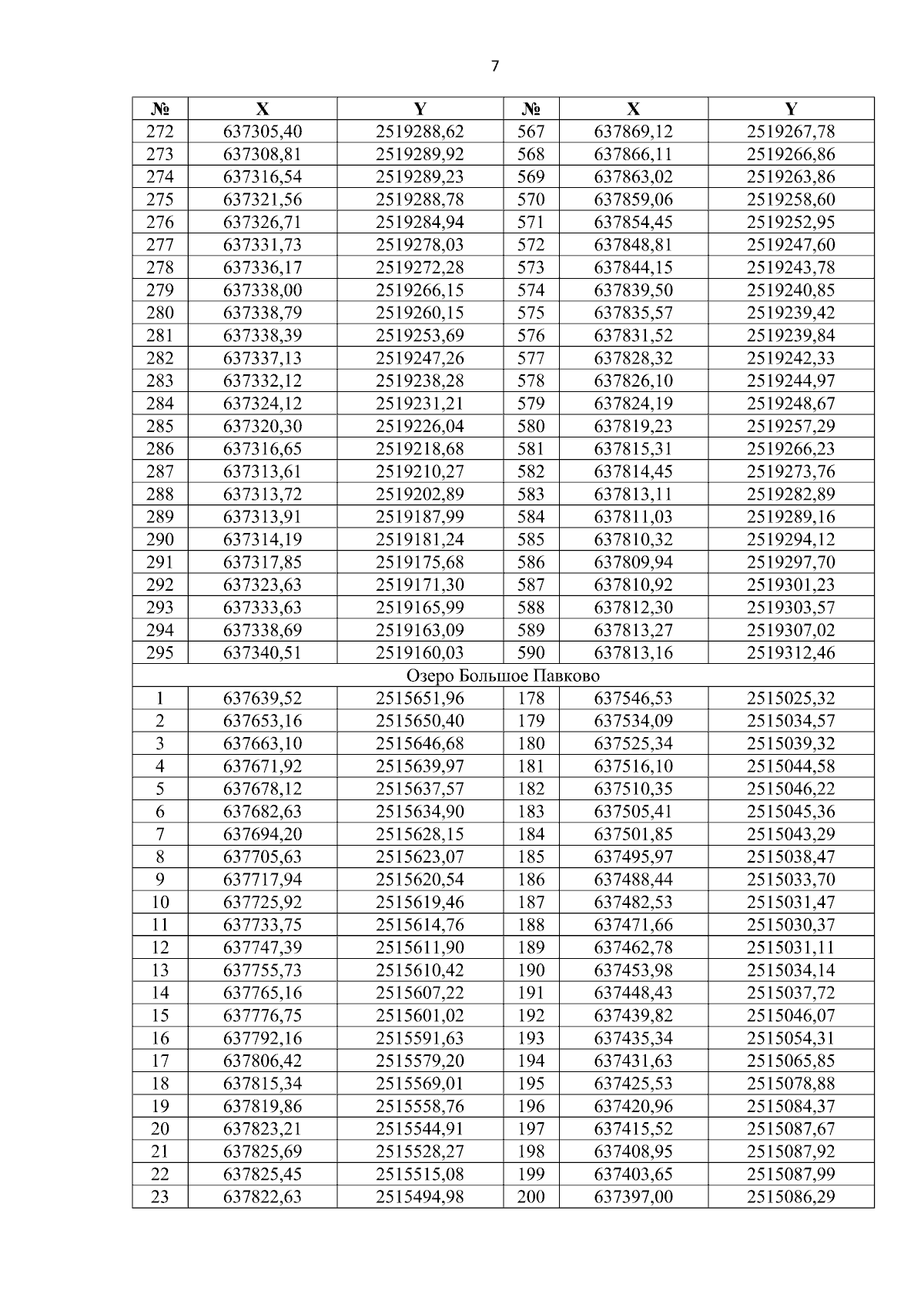
"Об установлении местоположения береговой линии (границы водного объекта), границ водоохранной зоны и прибрежной защитной полосы озер Большое Коровье, Большое Павково, Пикалево, расположенных в границах Приморского муниципального округа Архангельской области"
(Зарегистрирован 20.01.2025 № 29-2025-204/30)
Номер опубликования: 2901202501210002
Дата опубликования: 21.01.2025
Страница №9 из 63: