Официальное опубликование правовых актов
ОФИЦИАЛЬНОЕ ОПУБЛИКОВАНИЕ
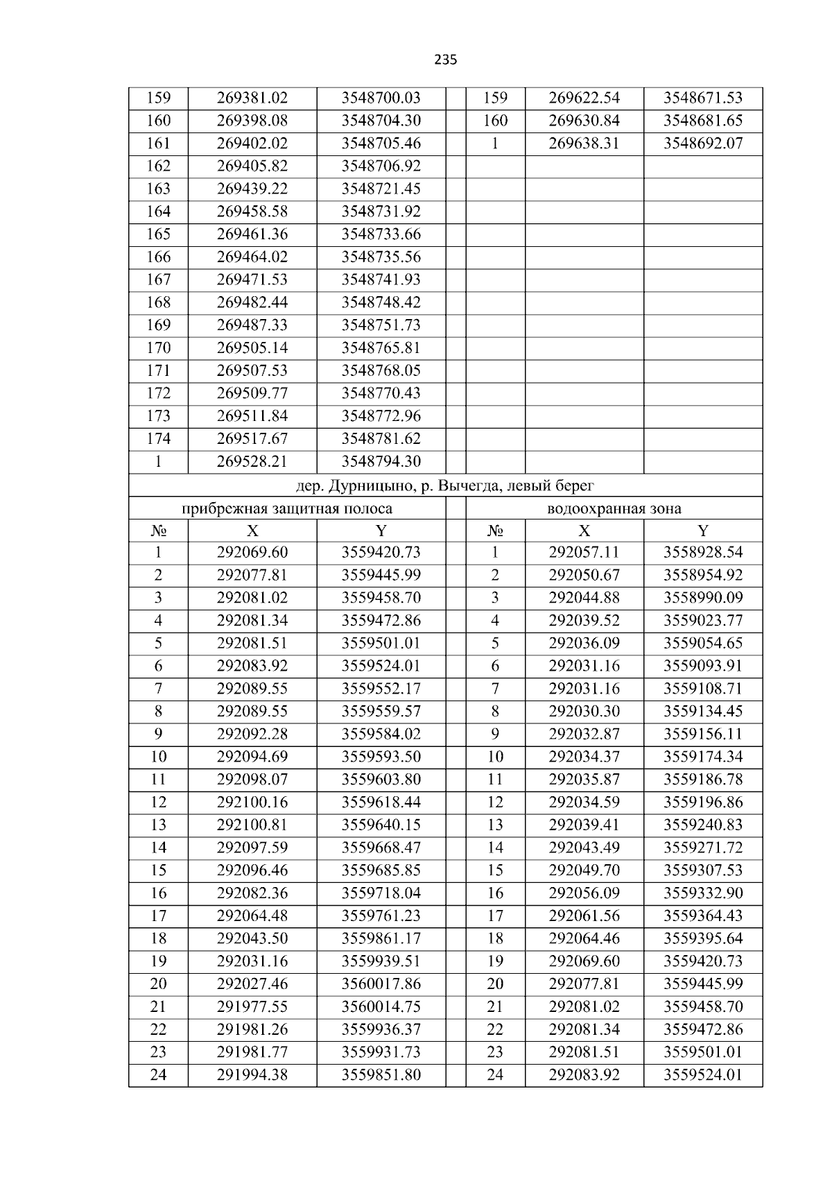
Постановление Министерства природных ресурсов и лесопромышленного комплекса Архангельской области от 29.11.2024 № 79п
"О внесении изменений в постановление министерства природных ресурсов и лесопромышленного комплекса Архангельской области от 29 января 2020 года № 3п"
(Зарегистрирован 05.12.2024 № 29-2024-204/1141)
Номер опубликования: 2901202412050018
Дата опубликования: 05.12.2024
Страница №236 из 433:
Увеличить