Официальное опубликование правовых актов
ОФИЦИАЛЬНОЕ ОПУБЛИКОВАНИЕ
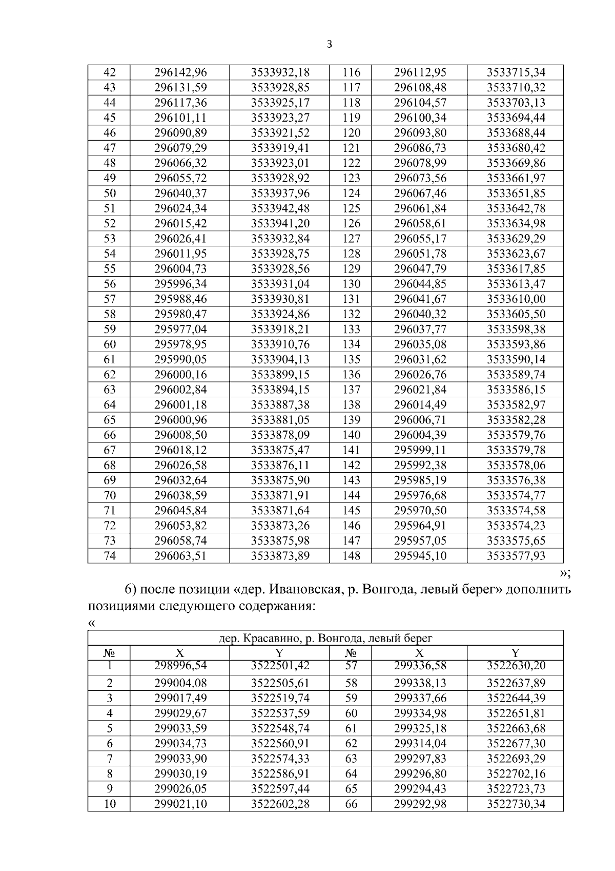
Постановление Министерства природных ресурсов и лесопромышленного комплекса Архангельской области от 29.11.2024 № 82п
"О внесении изменений в постановление министерства природных ресурсов и лесопромышленного комплекса Архангельской области от 11 января 2019 года № 3п"
(Зарегистрирован 04.12.2024 № 29-2024-204/1114)
Номер опубликования: 2901202412040012
Дата опубликования: 04.12.2024
Страница №4 из 22:
Увеличить