Официальное опубликование правовых актов
ОФИЦИАЛЬНОЕ ОПУБЛИКОВАНИЕ
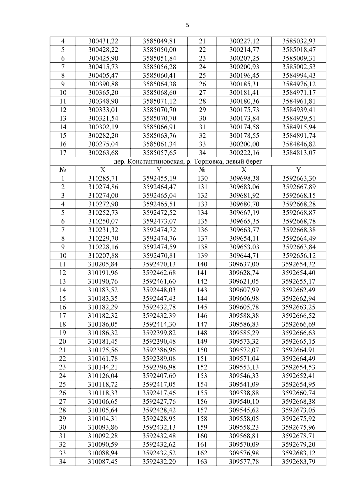
Постановление Министерства природных ресурсов и лесопромышленного комплекса Архангельской области от 29.11.2024 № 80п
"О внесении изменений в постановление министерства природных ресурсов и лесопромышленного комплекса Архангельской области от 6 марта 2019 года № 8п"
(Зарегистрирован 04.12.2024 № 29-2024-204/1112)
Номер опубликования: 2901202412040011
Дата опубликования: 04.12.2024
Страница №6 из 11:
Увеличить