Официальное опубликование правовых актов
ОФИЦИАЛЬНОЕ ОПУБЛИКОВАНИЕ
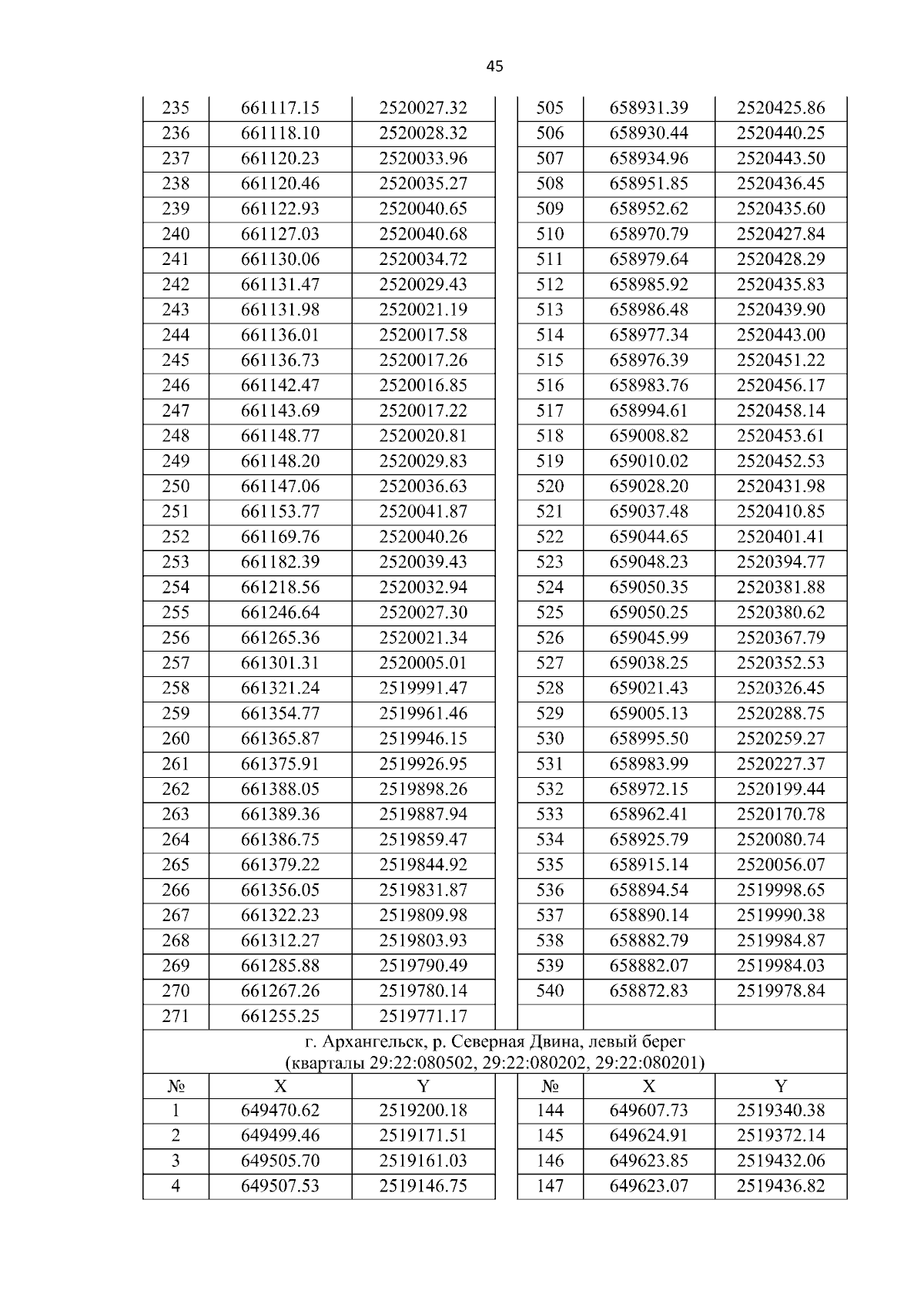
Постановление Министерства природных ресурсов и лесопромышленного комплекса Архангельской области от 14.11.2024 № 73п
"О внесении изменений в постановление министерства природных ресурсов и лесопромышленного комплекса Архангельской области от 14 апреля 2020 года № 19п"
(Зарегистрирован 19.11.2024 № 29-2024-204/938)
Номер опубликования: 2901202411190004
Дата опубликования: 19.11.2024
Страница №45 из 58:
Увеличить