Официальное опубликование правовых актов
ОФИЦИАЛЬНОЕ ОПУБЛИКОВАНИЕ
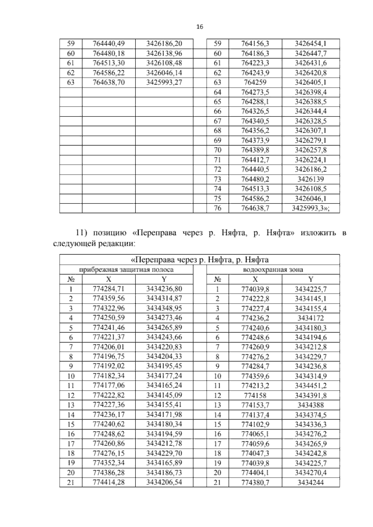
Постановление Министерства природных ресурсов и лесопромышленного комплекса Архангельской области от 22.08.2024 № 53п
"О внесении изменений в постановление министерства природных ресурсов и лесопромышленного комплекса Архангельской области от 7 марта 2017 года № 4п"
(Зарегистрирован 23.08.2024 № 29-2024-204/649 )
Номер опубликования: 2901202408230001
Дата опубликования: 23.08.2024
Страница №17 из 126:
Увеличить