Официальное опубликование правовых актов
ОФИЦИАЛЬНОЕ ОПУБЛИКОВАНИЕ
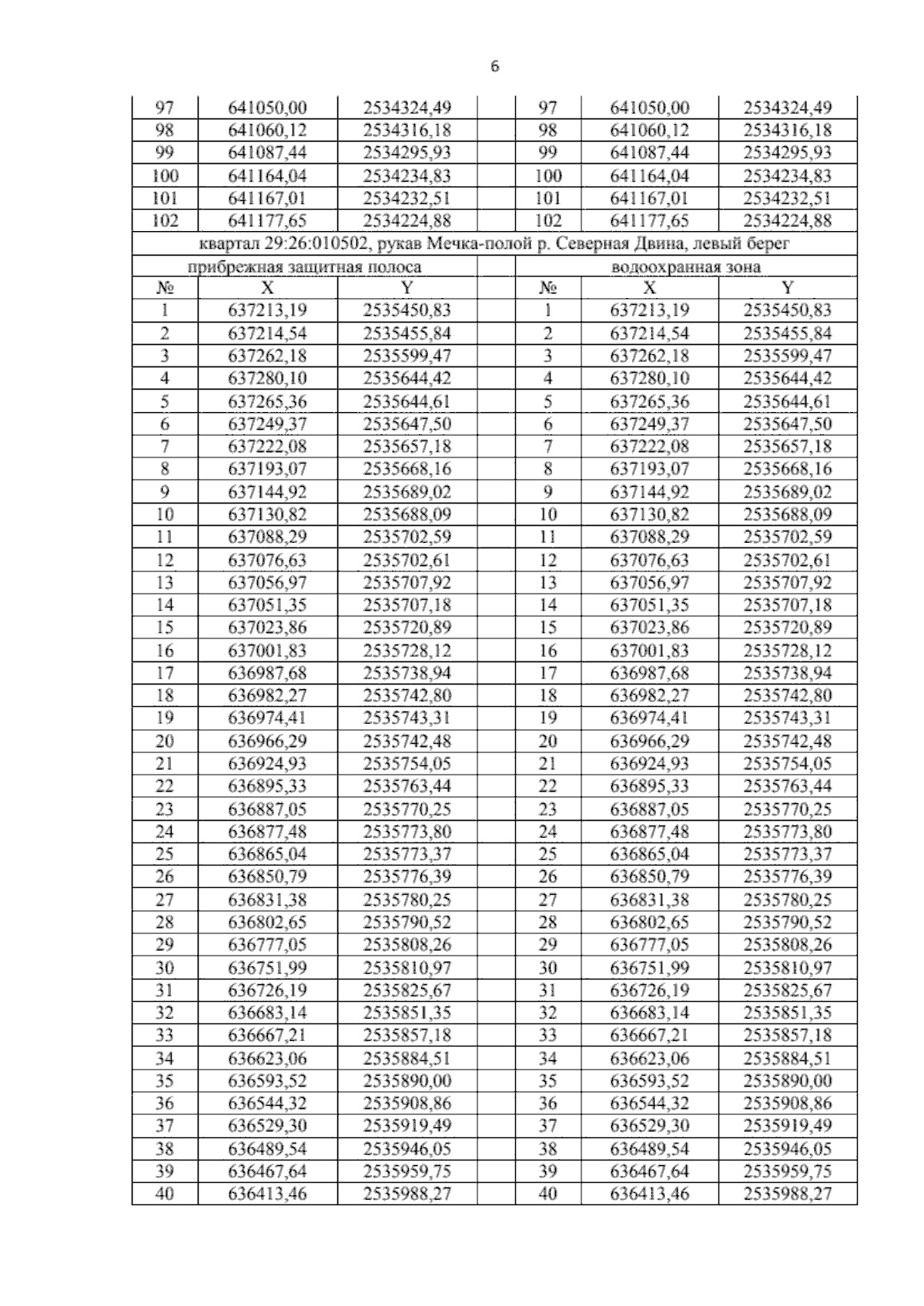
Постановление Министерства природных ресурсов и лесопромышленного комплекса Архангельской области от 19.08.2024 № 46п
"О внесении изменений в постановление министерства природных ресурсов и лесопромышленного комплекса Архангельской области от 24 апреля 2020 года № 23п"
(Зарегистрирован 19.08.2024 № 29-2024-204/635)
Номер опубликования: 2901202408200004
Дата опубликования: 20.08.2024
Страница №7 из 118:
Увеличить