Официальное опубликование правовых актов
ОФИЦИАЛЬНОЕ ОПУБЛИКОВАНИЕ
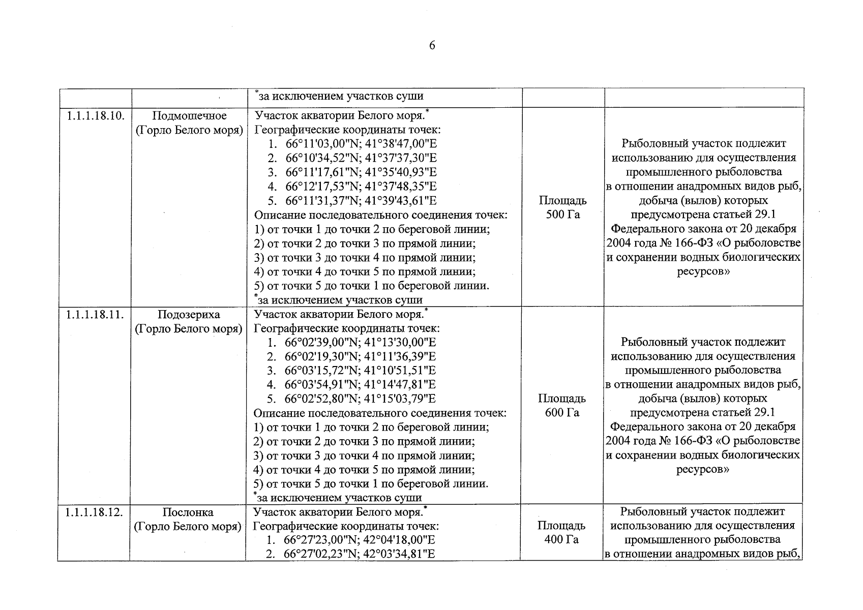
Постановление Министерства агропромышленного комплекса и торговли Архангельской области от 01.08.2024 № 34-п
"О внесении изменений в Перечень рыболовных участков Архангельской области"
(Зарегистрирован 02.08.2024 № 29-2024-205/566)
Номер опубликования: 2901202408020005
Дата опубликования: 02.08.2024
Страница №7 из 79:
Увеличить