Официальное опубликование правовых актов
ОФИЦИАЛЬНОЕ ОПУБЛИКОВАНИЕ
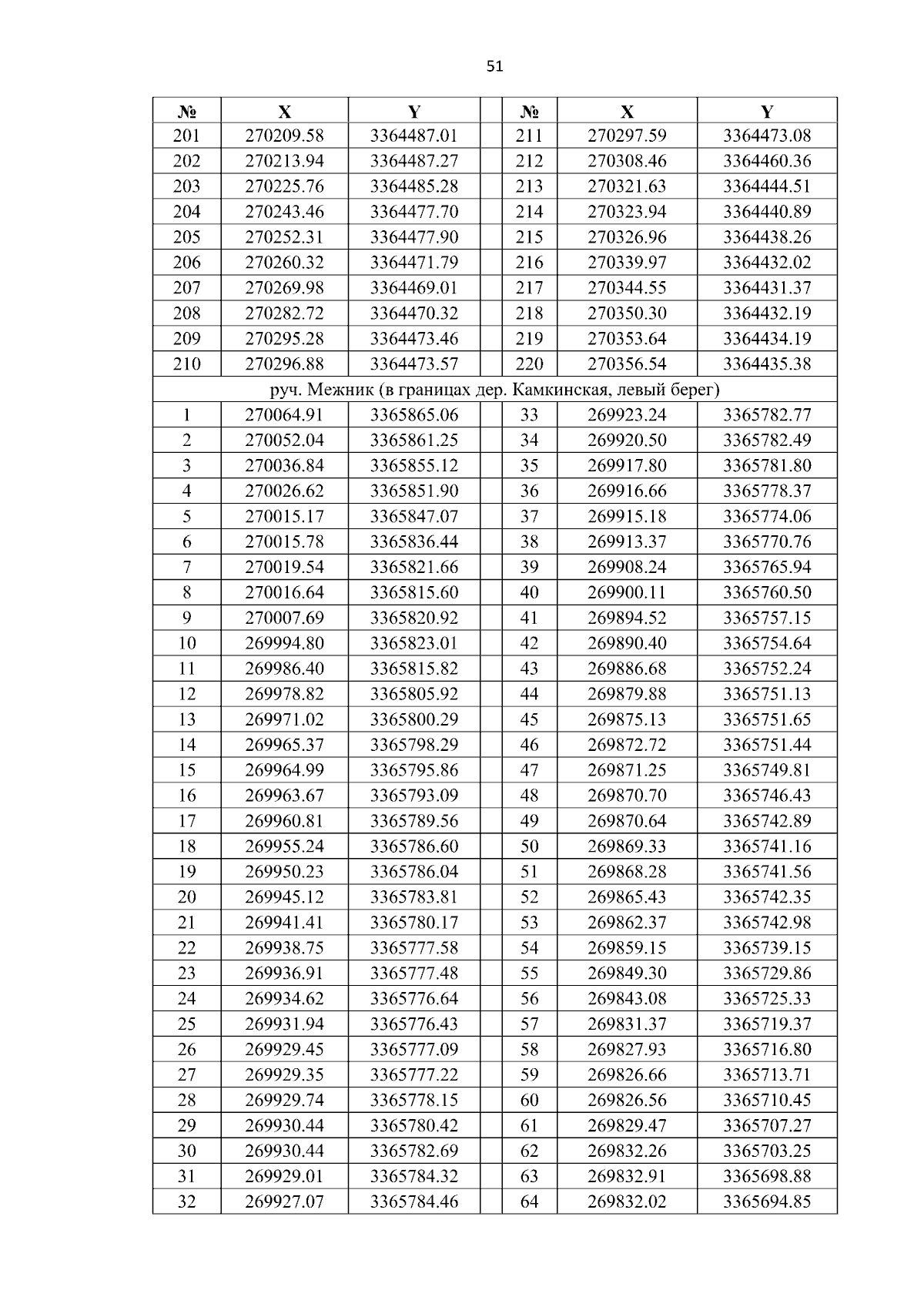
Постановление Министерства природных ресурсов и лесопромышленного комплекса Архангельской области от 06.05.2024 № 28п
"Об установлении местоположения береговых линий (границ водных объектов) участков водных объектов в бассейне реки Устья в границах Вельского муниципального района Архангельской области, Красноборского и Устьянского муниципальных округов Архангельской области и о внесении изменений в постановление министерства природных ресурсов и лесопромышленного комплекса Архангельской области от 30 января 2023 года № 4п"
(Зарегистрирован 07.05.2024 № 29-2024-204/318)
Номер опубликования: 2901202405080005
Дата опубликования: 08.05.2024
Страница №53 из 72:
Увеличить