Официальное опубликование правовых актов
ОФИЦИАЛЬНОЕ ОПУБЛИКОВАНИЕ
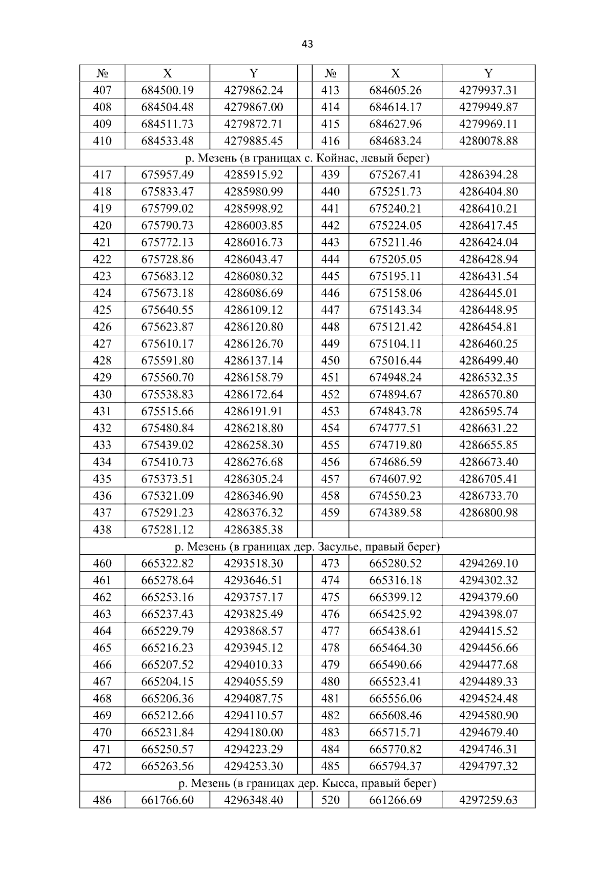
Постановление Министерства природных ресурсов и лесопромышленного комплекса Архангельской области от 25.01.2024 № 3п
"Об установлении местоположения береговых линий (границ водных объектов) участков водных объектов в бассейне реки Мезень в границах Мезенского муниципального округа Архангельской области и Лешуконского муниципального округа Архангельской области"
(Зарегистрирован 30.01.2024 № 29-2024-204/60)
Номер опубликования: 2901202401310002
Дата опубликования: 31.01.2024
Страница №44 из 56:
Увеличить