Официальное опубликование правовых актов
ОФИЦИАЛЬНОЕ ОПУБЛИКОВАНИЕ
Постановление агентства по тарифам и ценам Архангельской области от 20.12.2023 № 81-э/50
"Об установлении цен (тарифов) на электрическую энергию (мощность), поставляемую гарантирующим поставщиком электрической энергии ООО "ТГК-2 Энергосбыт"
(Зарегистрирован 25.12.2023 № 29-2023-313/1456)
Номер опубликования: 2901202312250047
Дата опубликования: 25.12.2023
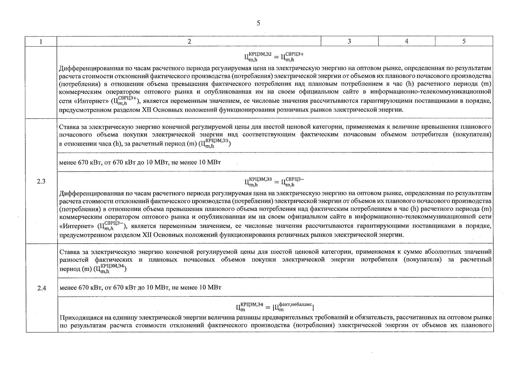
Страница №25 из 39:
Увеличить