Официальное опубликование правовых актов
ОФИЦИАЛЬНОЕ ОПУБЛИКОВАНИЕ
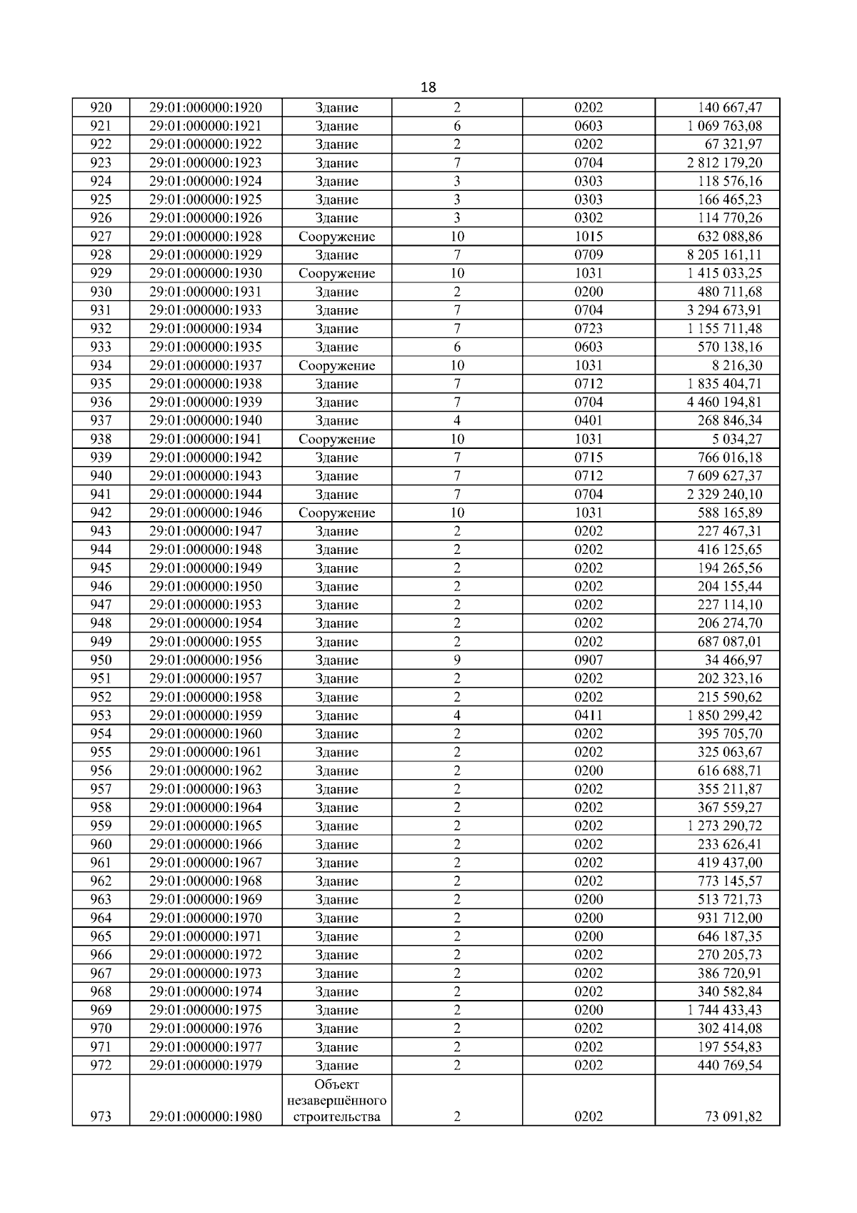
Постановление Министерства имущественных отношений Архангельской области от 20.11.2023 № 40-п
"Об утверждении результатов определения кадастровой стоимости зданий, помещений, сооружений, объектов незавершенного строительства, машино-мест, расположенных на территории Архангельской области"
(Зарегистрирован 20.11.2023 № 29-2023-312/957 )
Номер опубликования: 2901202311220004
Дата опубликования: 22.11.2023
Страница №19 из 14967:
Увеличить