Официальное опубликование правовых актов
ОФИЦИАЛЬНОЕ ОПУБЛИКОВАНИЕ
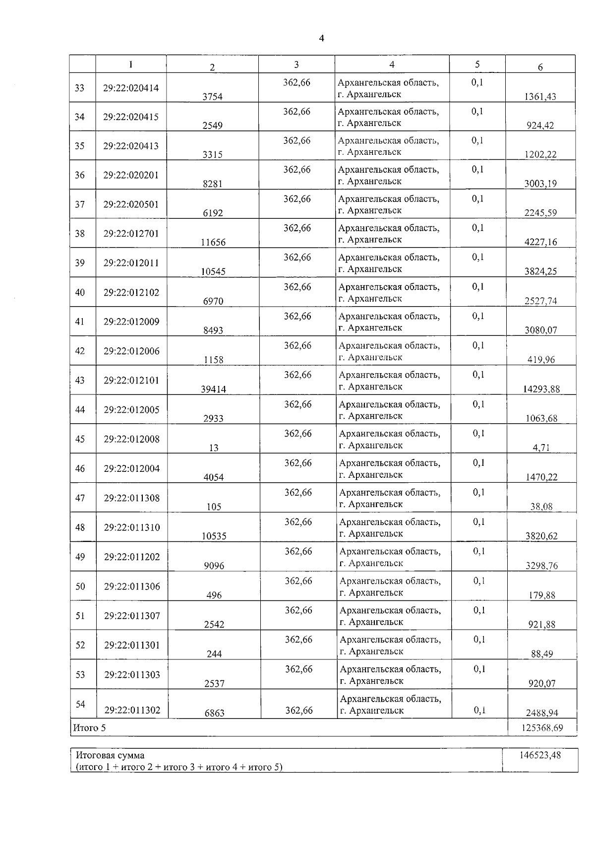
Постановление Министерства имущественных отношений Архангельской области от 24.08.2023 № 35-п
"О внесении изменений в постановление от 12 мая 2023 г. № 20-п "Об установлении публичного сервитута для строительства и эксплуатации линейного объекта системы газоснабжения регионального значения "Газопровод распределительный от Архангельской ТЭЦ до микрорайона "Экономия" г. Архангельска Архангельской области"
(Зарегистрирован 28.08.2023 № 29-2023-312/619)
Номер опубликования: 2901202308280001
Дата опубликования: 28.08.2023
Страница №5 из 7:
Увеличить