Официальное опубликование правовых актов
ОФИЦИАЛЬНОЕ ОПУБЛИКОВАНИЕ
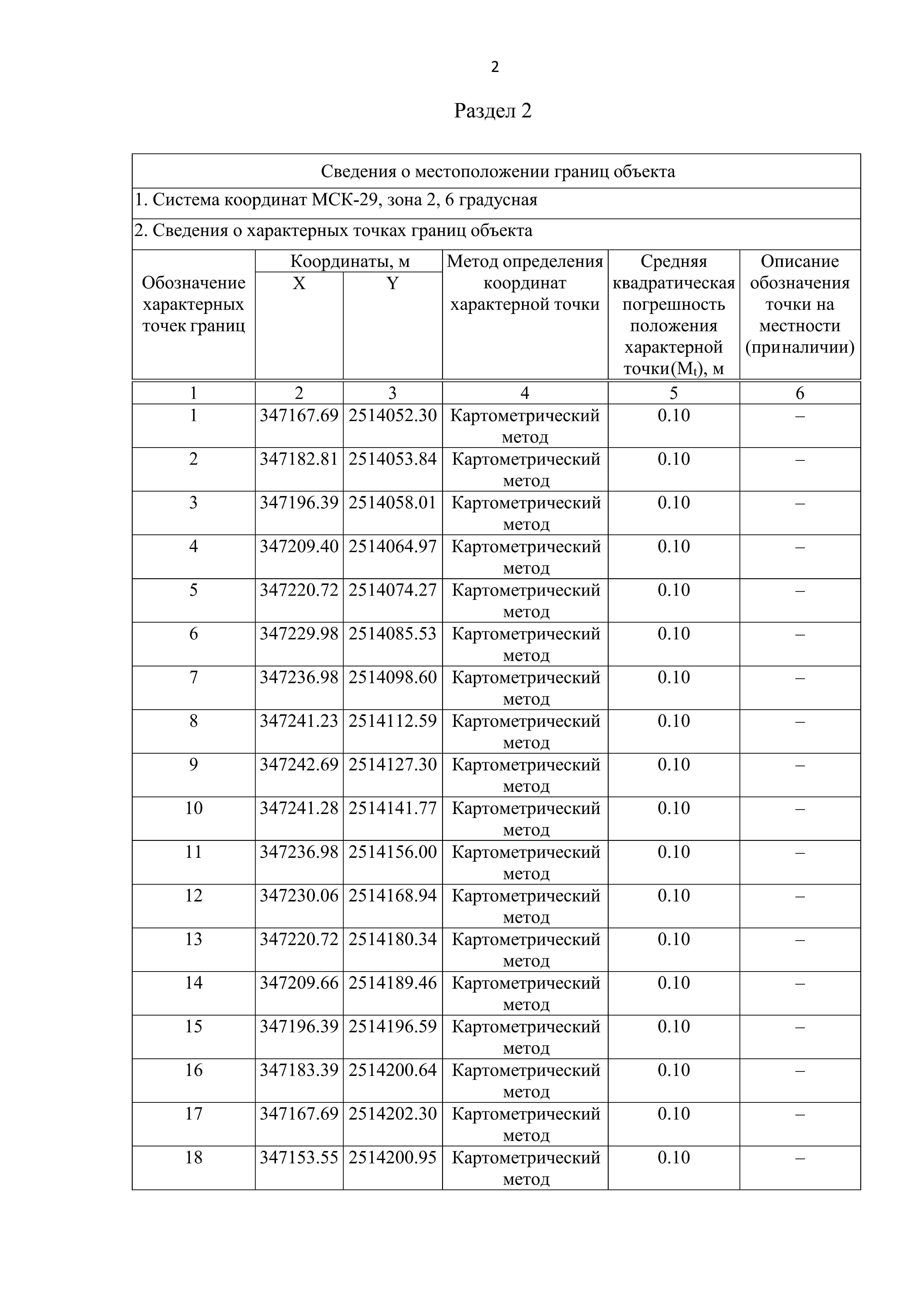
Постановление Министерства природных ресурсов и лесопромышленного комплекса Архангельской области от 12.04.2023 № 17п
"Об установлении зоны санитарной охраны источника питьевого и хозяйственно-бытового водоснабжения"
(Зарегистрирован 17.04.2023 № 29-2023-204/224)
Номер опубликования: 2901202304190004
Дата опубликования: 19.04.2023
Страница №13 из 16: