Официальное опубликование правовых актов
ОФИЦИАЛЬНОЕ ОПУБЛИКОВАНИЕ
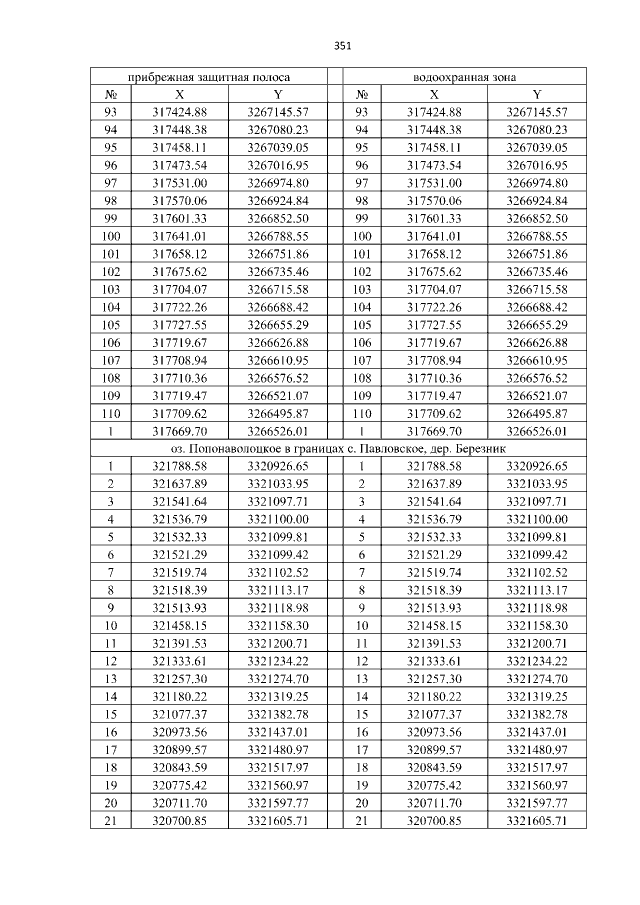
Постановление Министерства природных ресурсов и лесопромышленного комплекса Архангельской области от 30.01.2023 № 5п
"Об утверждении границ водоохранных зон и прибрежных защитных полос участков водных объектов в границах муниципального образования "Вельский муниципальный район Архангельской области"
(Зарегистрирован 01.02.2023 № 29-2023-204/53)
Номер опубликования: 2901202302010003
Дата опубликования: 01.02.2023
Страница №352 из 358:
Увеличить